题目内容
为了探测某星球,载着登陆舱的探测飞船在以该星球中心为圆心,半径为r1的圆轨道上运动,周期为T1,总质量为m1,随后登陆舱脱离飞船,变轨到离星球更近的半径为r2的圆轨道上运动,登陆舱的质量为m2,则( )A.该星球的质量为M=
B.该星球表面的重力加速度为g1=
C.登陆舱在半径为r1与半径为r2的轨道上运动时的速度大小之比为
D.登陆舱在半径为r2的轨道上做圆周运动的周期为T2=T1
【答案】分析:研究飞船绕星球做匀速圆周运动,根据万有引力提供向心力,列出等式求出中心体的质量.
研究登陆舱绕星球做匀速圆周运动,根据万有引力提供向心力,列出等式表示出线速度和周期.再通过不同的轨道半径进行比较.
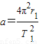
解答:解:A、研究飞船绕星球做匀速圆周运动,根据万有引力提供向心力,列出等式:
得出:
,故A错误;
B、根据圆周运动知识,
只能表示在半径为r1的圆轨道上向心加速度,而不等于X星球表面的重力加速度,故B错误.
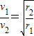
C、研究登陆舱绕星球做匀速圆周运动,根据万有引力提供向心力有:
在半径为r的圆轨道上运动:
得出:
表达式里M为中心体星球的质量,R为运动的轨道半径.
所以登陆舱在r1与r2轨道上运动时的速度大小之比为
,故C错误.
D、研究登陆舱绕星球做匀速圆周运动,根据万有引力提供向心力,列出等式:
在半径为r的圆轨道上运动:
得出:
.
表达式里M为中心体星球的质量,R为运动的轨道半径.所以登陆舱在r1与r2轨道上运动时的周期大小之比为:
所以:
,故D正确.
故选:D.
点评:求一个物理量之比,我们应该把这个物理量先用已知的物理量表示出来,再进行之比.向心力的公式选取要根据题目提供的已知物理量或所求解的物理量选取应用.
研究登陆舱绕星球做匀速圆周运动,根据万有引力提供向心力,列出等式表示出线速度和周期.再通过不同的轨道半径进行比较.
解答:解:A、研究飞船绕星球做匀速圆周运动,根据万有引力提供向心力,列出等式:
得出:
B、根据圆周运动知识,
C、研究登陆舱绕星球做匀速圆周运动,根据万有引力提供向心力有:
在半径为r的圆轨道上运动:
所以登陆舱在r1与r2轨道上运动时的速度大小之比为
D、研究登陆舱绕星球做匀速圆周运动,根据万有引力提供向心力,列出等式:
在半径为r的圆轨道上运动:
表达式里M为中心体星球的质量,R为运动的轨道半径.所以登陆舱在r1与r2轨道上运动时的周期大小之比为:
所以:
故选:D.
点评:求一个物理量之比,我们应该把这个物理量先用已知的物理量表示出来,再进行之比.向心力的公式选取要根据题目提供的已知物理量或所求解的物理量选取应用.
练习册系列答案
相关题目