题目内容
将地面上静止的货物竖直向上吊起,货物由地面运动至最高点的过程中,
图像如图所示。以下判断正确的是![]()
| A.前3s内货物处于失重状态 |
| B.最后2s内货物处于完全失重状态 |
| C.前3s内与最后2s内货物的平均速度相同 |
| D.整个过程中货物的机械能一直增加 |
CD
解析试题分析:根据
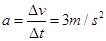
图像可知,前3s内货物向上做匀加速直线运动,加速度向上,处于超重状态,选项A错误;最后2s内货物做匀减速直线运动,加速度大小为
,受重力和拉力作用,加速度向下,处于失重状态,但不是完全失重,选项B错误;根据匀变速直线运动平均速度公式
,前3s内与最后2s内货物的平均速度相同,都为
,选项C正确;过程中拉力做正功,所以机械能增加,选项D正确。
考点:考查了对v-t图像的理解以及牛顿第二定律的应用
点评:当加速度向下,并且等于g的时候物体才处于完全失重状态,
练习册系列答案
相关题目
| A、在整个运动过程中,货物的位移大小是21m | B、前3s内与最后2s内货物的运动方向相反 | C、前3s内货物处于超重状态 | D、最后2s内货物所受拉力等于重力 |
| A、第3s末至第5s末的过程中,货物的机械能守恒 | B、最后2s内货物只受重力作用 | C、前3s内与最后2s内货物的平均速度相同 | D、前3s内货物处于超重状态 |