题目内容
如图所示,a、b、c是地球大气层外圆形轨道上运行的三颗人造地球卫星,a、b质量相同,且小于c的质量,则( )A.b所需向心力最小
B.b、c的周期相等,且小于a的周期
C.b、c的向心加速度相等,且大于a的向心加速度
D.b、c的线速度大小相等,且小于a的线速度
【答案】分析:卫星做圆周运动时万有引力提供向心力,据此列式讨论即可.
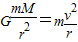
解答:解:万有引力提供圆周运动的向心力所以有:
A、∵ma=mb<mc,ra<rb=rc∴Fa>Fb,Fb<Fc,所以b所需向心力最小,故A正确;
B、
?
,故b、c周期相等,且大于a的周期,故B错误;
C、
?
,知b、c的向心加速度相等且小于a的向心加速度故C错误;
D、
?
,知b、c的线速度大小相等,且小于a的线速度,故D正确.
故选AD
点评:抓住万有引力提供圆周运动的向心力,求向心力、周期、向心加速度及线速度与半径的关系.
解答:解:万有引力提供圆周运动的向心力所以有:
A、∵ma=mb<mc,ra<rb=rc∴Fa>Fb,Fb<Fc,所以b所需向心力最小,故A正确;
B、
C、
D、
故选AD
点评:抓住万有引力提供圆周运动的向心力,求向心力、周期、向心加速度及线速度与半径的关系.
练习册系列答案
相关题目