ÌâÄ¿ÄÚÈÝ

ÈçͼËùʾ£¬Çã½Ç£½37¡ãµÄÐ±Ãæµ×¶ËBƽ»¬Á¬½Ó×Ű뾶r£½0.40 mµÄÊúÖ±¹â»¬Ô²¹ìµÀ£®ÖÊÁ¿m£½0.50 kgµÄСÎï¿é£¬´Ó¾àµØÃæh£½2.7 m´¦ÑØÐ±ÃæÓɾ²Ö¹¿ªÊ¼Ï»¬£¬Ð¡Îï¿éÓëÐ±Ãæ¼äµÄ¶¯Ä¦²ÁÒòÊý¦Ì£½0.25£¬Çó£º(sin37¡ã£½0.6£¬cos37¡ã£½0.8£¬g£½10 m/s2)

(1)Îï¿é»¬µ½Ð±Ãæµ×¶ËBʱµÄËÙ¶È´óС£®

(2)Îï¿éÔ˶¯µ½Ô²¹ìµÀµÄ×î¸ßµãAʱ£¬¶ÔÔ²¹ìµÀµÄѹÁ¦´óС£®

´ð°¸£º
½âÎö£º

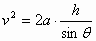
¡¡¡¡½â£º(1)Îï¿éÑØÐ±ÃæÏ»¬¹ý³ÌÖУ¬ÔÚÖØÁ¦¡¢Ö§³ÖÁ¦ºÍĦ²ÁÁ¦×÷ÓÃÏÂ×öÔȼÓËÙÔ˶¯£¬ÉèÏ»¬¼ÓËÙ¶ÈΪa£¬µ½´ïÐ±Ãæµ×¶ËBʱµÄËÙ¶ÈΪv£¬Ôò

¡¡¡¡¡¡(2·Ö)

¡¡¡¡¡¡(2·Ö)

¡¡¡¡ÓÉ¢Ù¡¢¢Úʽ´úÈëÊý¾Ý½âµÃ£ºm/s¡¡(2·Ö)

¡¡¡¡(2)ÉèÎï¿éÔ˶¯µ½Ô²¹ìµÀµÄ×î¸ßµãAʱµÄËÙ¶ÈΪvA£¬ÔÚAµãÊܵ½Ô²¹ìµÀµÄѹÁ¦ÎªN£¬ÓÉ»úеÄÜÊØºã¶¨Âɵãº

¡¡¡¡¡¡(2·Ö)

¡¡¡¡Îï¿éÔ˶¯µ½Ô²¹ìµÀµÄ×î¸ßµãAʱ£¬ÓÉÅ£¶ÙµÚ¶þ¶¨Âɵãº

¡¡¡¡¡¡(2·Ö)

¡¡¡¡´úÈëÊý¾Ý½âµÃ£ºN£½20 N¡¡(1·Ö)

¡¡¡¡ÓÉÅ£¶ÙµÚÈý¶¨ÂÉ¿ÉÖª£¬Îï¿éÔ˶¯µ½Ô²¹ìµÀµÄ×î¸ßµãAʱ£¬¶ÔÔ²¹ìµÀµÄѹÁ¦´óС

¡¡¡¡NA£½N£½20 N¡¡(1·Ö)


Á·Ï°²áϵÁдð°¸
Ïà¹ØÌâÄ¿

Î¥·¨ºÍ²»Á¼ÐÅÏ¢¾Ù±¨µç»°£º027-86699610 ¾Ù±¨ÓÊÏ䣺58377363@163.com

¾«Ó¢¼Ò½ÌÍø