题目内容

(16分)如图所示,水平绝缘粗糙的轨道AB与处于竖直平面内的半圆形绝缘光滑轨道BC平滑连接,半圆形轨道的半径R=0.4m在轨道所在空间存在水平向右的匀强电场,电场线与轨道所在的平面平行,电场强度E=1.0×104N/C现有一电荷量q=+1.0×104C,质量m=0.1kg的带电体(可视为质点),在水平轨道上的P点由静止释放,带电体恰好能通过半圆形轨道的最高点C,然后落至水平轨道上的D点.取g=10m/s2.试求:

(1)带电体运动到圆形轨道B点时对圆形轨道的压力大小;

(2)D点到B点的距离xDB

(3)带电体在从P开始运动到落至D点的过程中的最大动能.

 

【答案】

(1)6.0N;(2)0;(3)1.17J;

【解析】

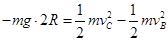
试题分析:(1)设带电体通过C点时的速度为,根据牛顿第二定律得:

      (2分)

设带电体通过B点时的速度为,设轨道对带电体的支持力大小为,带电体从B运动到C的过程中,根据动能定理:    (2分)

带电体在B点时,根据牛顿第二定律有:

           (2分)

联立解得:     (1分)

根据牛顿第三定律可知,带电体对轨道的压力   (1分)

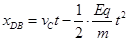
(2)设带电体从最高点C落至水平轨道上的D点经历的时间为t,根据运动的分解有:

        (1分)

     (2分)

联立解得:        (1分)

(3)由P到B带电体做加速运动,故最大速度一定出现在从B经C到D的过程中,在此过程中保有重力和电场力做功,这两个力大小相等,其合力与重力方向成450夹角斜向右下方,故最大速度必出现在B点右侧对应圆心角为450处。         (1分)

设小球的最大动能为,根据动能定理有:

     (2分)

解得:         (1分)

考点:运动的合成分解、牛顿第二定律、动能定理

 

练习册系列答案
相关题目

违法和不良信息举报电话:027-86699610 举报邮箱:58377363@163.com

精英家教网