ÌâÄ¿ÄÚÈÝ
ÔÚÆ½ÃæÖ±½Ç×ø±êϵxOyÖУ¬µÚIÏóÏÞ´æÔÚÑØyÖḺ·½ÏòµÄÔÈÇ¿µç³¡£¬µÚIVÏóÏÞ´æÔÚ´¹Ö±ÓÚ×ø±êÆ½ÃæÏòÍâµÄÔÈÇ¿´Å³¡£¬´Å¸ÐӦǿ¶ÈΪB£®Ò»ÖÊÁ¿Îªm£¬µçºÉÁ¿ÎªqµÄ´øÕýµçµÄÁ£×Ó´ÓyÖáÕý°ëÖáÉϵÄMµãÒÔËÙ¶Èv´¹Ö±ÓÚyÖáÉäÈëµç³¡£¬¾xÖáÉϵÄNµãÓëxÖáÕý·½Ïò³É60°½ÇÉäÈë´Å³¡£¬×îºó´ÓyÖḺ°ëÖáÉϵÄPµã´¹Ö±ÓÚyÖáÉä³ö´Å³¡£¬ÈçͼËùʾ£®²»¼ÆÁ£×ÓÖØÁ¦£¬Çó£¨1£©M¡¢NÁ½µã¼äµÄµçÊÆ²îUMN£»
£¨2£©Á£×ÓÔڴų¡ÖÐÔ˶¯µÄ¹ìµÀ°ë¾¶r£»
£¨3£©Á£×Ó´ÓMµãÔ˶¯µ½PµãµÄ×Üʱ¼ät£®
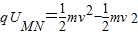
¡¾´ð°¸¡¿·ÖÎö£º£¨1£©Á£×Ó´¹Ö±Óڵ糡½øÈëµÚÒ»ÏóÏÞ£¬Á£×Ó×öÀàÆ½Å×Ô˶¯£¬Óɵ½´ïNµÄËÙ¶È·½Ïò¿ÉÀûÓÃËٶȵĺϳÉÓë·Ö½âµÃÖª´ËʱµÄËÙ¶È£¬ÔÚÓ¦Óö¯Äܶ¨Àí¼´¿ÉÇóµÃµç³¡ÖÐMNÁ½µã¼äµÄµçÊÆ²î£®
£¨2£©Á£×ÓÒÔ´ËËٶȽøÈëµÚËÄÏóÏÞ£¬ÔÚÂåÂ××ÈÁ¦µÄ×÷ÓÃÏÂ×öÔÈËÙÔ²ÖÜÔ˶¯£¬ÏÈ»³ö¹ì¼£Í¼£¬ÕÒ³ö°ë¾¶£»ÀûÓÃÂåÂ××ÈÁ¦ÌṩÏòÐÄÁ¦µÄ¹«Ê½£¬¿ÉÇó³öÔڴų¡ÖÐÔ˶¯µÄ°ë¾¶£®
£¨3£©Á£×ÓµÄÔ˶¯·ÖΪÁ½²¿·Ö£¬Ò»ÊÇÔÚµÚÒ»ÏóÏÞÄÚ×öÀàÆ½Å×Ô˶¯£¬¶þÊÇÔÚµÚËÄÏóÏÞÄÚ×öÔÈËÙÔ²ÖÜÔ˶¯£¬·Ö¶ÎÇó³öʱ¼ä£¬Ïà¼Ó¿ÉµÃ×Üʱ¼ä£®
½â´ð£º½â£º
£¨1£©Á£×ÓÔÚµÚÒ»ÏóÏÞÄÚ×öÀàÆ½Å×Ô˶¯£¬½øÈëµÚËÄÏóÏÞ×öÔÈËÙÔ²ÖÜÔ˶¯£®ÉèÁ£×Ó¹ýNµãµÄËÙ¶ÈΪv£¬ÓÐ
µÃ£ºv=2v
Á£×Ó´ÓMµãµ½NµãµÄ¹ý³Ì£¬Óɶ¯Äܶ¨ÀíÓУº

½âµÃ£º
£¨2£©Á£×ÓÔڴų¡ÖÐÒÔO¡äΪԲÐÄ×öÔÈËÙÔ²ÖÜÔ˶¯£¨ÈçͼËùʾ£©£¬°ë¾¶ÎªO¡äN£¬ÓУº

½âµÃ£º
£¨3£©Óɼ¸ºÎ¹ØÏµµÃ£º
ON=rsin¦È
ÉèÁ£×ÓÔڵ糡ÖÐÔ˶¯µÄʱ¼äΪt1£¬ÔòÓУº
ON=vt1

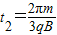
Á£×ÓÔڴų¡ÖÐ×öÔÈËÙÔ²ÖÜÔ˶¯µÄÖÜÆÚΪ£º

ÉèÁ£×ÓÔڴų¡ÖÐÔ˶¯µÄʱ¼äΪt2£¬ÓУº

µÃ£º
Ô˶¯µÄ×Üʱ¼äΪ£º
t=t1+t2
¼´£º
´ð£º£¨1£©M¡¢NÁ½µã¼äµÄµçÊÆ²î
£»
£¨2£©Á£×ÓÔڴų¡ÖÐÔ˶¯µÄ¹ìµÀ°ë¾¶Îª
£»
£¨3£©Á£×Ó´ÓMµãÔ˶¯µ½PµãµÄ×Üʱ¼äΪ
£®
µãÆÀ£º¸ÃÌ⿼²éÁ˵糡ºÍ´Å³¡±ß½çÎÊÌ⣬²»Í¬³¡µÄ·Ö½çÃæÉÏ£¬¼ÈÊÇÒ»ÖÖÔ˶¯µÄ½áÊø£¬ÓÖÊÇÁíÒ»ÖÖÔ˶¯µÄ¿ªÊ¼£¬Ñ°ÕÒÏà¹ØÎïÀíÁ¿ÓÈÆäÖØÒª£®
Á£×ÓÔڵ糡ÖÐÔ˶¯Æ«×ªÊ±£¬³£ÓÃÄÜÁ¿µÄ¹ÛµãÀ´½â¾öÎÊÌ⣬ÓÐʱҲҪÔËÓÃÔ˶¯µÄºÏ³ÉÓë·Ö½â£®
µãÁ£×Ó×öÔÈËÙÔ²ÖÜÔ˶¯µÄÔ²ÐÄ¡¢°ë¾¶¼°Ô˶¯Ê±¼äµÄÈ·¶¨Ò²ÊDZ¾ÌâµÄÒ»¸ö¿¼²éÖØµã
Ô²ÐĵÄÈ·¶¨£ºÒòÂåÂ××ÈÁ¦ÌṩÏòÐÄÁ¦£¬ÂåÂ××ÈÁ¦×Ü´¹Ö±ÓÚËÙ¶È£¬»³ö´øµçÁ£×ÓÔ˶¯¹ì¼£ÖÐÈÎÒâÁ½µã£¨Ò»°ãÊÇÉäÈë´Å³¡ºÍÉä³ö´Å³¡µÄÁ½µã£©ÂåÂ××ÈÁ¦µÄ·½Ïò£¬ÆäÑÓ³¤µÄ½»µã¼´ÎªÔ²ÐÄ£®»òÉäÈë´Å³¡ºÍÉä³ö´Å³¡µÄÁ½µã¼äÏҵĴ¹Ö±Æ½·ÖÏßÓëÒ»°ë¾¶µÄ½»µã¼´ÎªÔ²ÐÄ£®
°ë¾¶µÄÈ·¶¨£º°ë¾¶Ò»°ã¶¼ÔÚÈ·¶¨Ô²ÐĵĻù´¡ÉÏÓÃÆ½Ã漸ºÎ֪ʶÇó½â£¬³£³£ÊǽâÖ±½ÇÈý½ÇÐΣ®
Ô˶¯Ê±¼äµÄÈ·¶¨£ºÀûÓÃÔ²ÐÄÓëÏÒÇнǵĹØÏµ¼ÆËã³öÁ£×ÓËùת¹ýµÄÔ²ÐĽǦȵĴóС£¬Óù«Ê½
¿ÉÇó³öÔ˶¯Ê±¼ä£®
ÔÙÕß¾ÍÊÇÒªÕýÈ·»³öÁ£×ÓÔ˶¯µÄ¹ì¼£Í¼£¬ÄÜÊìÁ·µÄÔËÓü¸ºÎ֪ʶ½â¾öÎïÀíÎÊÌ⣮
£¨2£©Á£×ÓÒÔ´ËËٶȽøÈëµÚËÄÏóÏÞ£¬ÔÚÂåÂ××ÈÁ¦µÄ×÷ÓÃÏÂ×öÔÈËÙÔ²ÖÜÔ˶¯£¬ÏÈ»³ö¹ì¼£Í¼£¬ÕÒ³ö°ë¾¶£»ÀûÓÃÂåÂ××ÈÁ¦ÌṩÏòÐÄÁ¦µÄ¹«Ê½£¬¿ÉÇó³öÔڴų¡ÖÐÔ˶¯µÄ°ë¾¶£®
£¨3£©Á£×ÓµÄÔ˶¯·ÖΪÁ½²¿·Ö£¬Ò»ÊÇÔÚµÚÒ»ÏóÏÞÄÚ×öÀàÆ½Å×Ô˶¯£¬¶þÊÇÔÚµÚËÄÏóÏÞÄÚ×öÔÈËÙÔ²ÖÜÔ˶¯£¬·Ö¶ÎÇó³öʱ¼ä£¬Ïà¼Ó¿ÉµÃ×Üʱ¼ä£®
½â´ð£º½â£º
µÃ£ºv=2v
Á£×Ó´ÓMµãµ½NµãµÄ¹ý³Ì£¬Óɶ¯Äܶ¨ÀíÓУº
½âµÃ£º
£¨2£©Á£×ÓÔڴų¡ÖÐÒÔO¡äΪԲÐÄ×öÔÈËÙÔ²ÖÜÔ˶¯£¨ÈçͼËùʾ£©£¬°ë¾¶ÎªO¡äN£¬ÓУº
½âµÃ£º
£¨3£©Óɼ¸ºÎ¹ØÏµµÃ£º
ON=rsin¦È
ÉèÁ£×ÓÔڵ糡ÖÐÔ˶¯µÄʱ¼äΪt1£¬ÔòÓУº
ON=vt1
Á£×ÓÔڴų¡ÖÐ×öÔÈËÙÔ²ÖÜÔ˶¯µÄÖÜÆÚΪ£º
ÉèÁ£×ÓÔڴų¡ÖÐÔ˶¯µÄʱ¼äΪt2£¬ÓУº
µÃ£º
Ô˶¯µÄ×Üʱ¼äΪ£º
t=t1+t2
¼´£º
´ð£º£¨1£©M¡¢NÁ½µã¼äµÄµçÊÆ²î
£¨2£©Á£×ÓÔڴų¡ÖÐÔ˶¯µÄ¹ìµÀ°ë¾¶Îª
£¨3£©Á£×Ó´ÓMµãÔ˶¯µ½PµãµÄ×Üʱ¼äΪ
µãÆÀ£º¸ÃÌ⿼²éÁ˵糡ºÍ´Å³¡±ß½çÎÊÌ⣬²»Í¬³¡µÄ·Ö½çÃæÉÏ£¬¼ÈÊÇÒ»ÖÖÔ˶¯µÄ½áÊø£¬ÓÖÊÇÁíÒ»ÖÖÔ˶¯µÄ¿ªÊ¼£¬Ñ°ÕÒÏà¹ØÎïÀíÁ¿ÓÈÆäÖØÒª£®
Á£×ÓÔڵ糡ÖÐÔ˶¯Æ«×ªÊ±£¬³£ÓÃÄÜÁ¿µÄ¹ÛµãÀ´½â¾öÎÊÌ⣬ÓÐʱҲҪÔËÓÃÔ˶¯µÄºÏ³ÉÓë·Ö½â£®
µãÁ£×Ó×öÔÈËÙÔ²ÖÜÔ˶¯µÄÔ²ÐÄ¡¢°ë¾¶¼°Ô˶¯Ê±¼äµÄÈ·¶¨Ò²ÊDZ¾ÌâµÄÒ»¸ö¿¼²éÖØµã
Ô²ÐĵÄÈ·¶¨£ºÒòÂåÂ××ÈÁ¦ÌṩÏòÐÄÁ¦£¬ÂåÂ××ÈÁ¦×Ü´¹Ö±ÓÚËÙ¶È£¬»³ö´øµçÁ£×ÓÔ˶¯¹ì¼£ÖÐÈÎÒâÁ½µã£¨Ò»°ãÊÇÉäÈë´Å³¡ºÍÉä³ö´Å³¡µÄÁ½µã£©ÂåÂ××ÈÁ¦µÄ·½Ïò£¬ÆäÑÓ³¤µÄ½»µã¼´ÎªÔ²ÐÄ£®»òÉäÈë´Å³¡ºÍÉä³ö´Å³¡µÄÁ½µã¼äÏҵĴ¹Ö±Æ½·ÖÏßÓëÒ»°ë¾¶µÄ½»µã¼´ÎªÔ²ÐÄ£®
°ë¾¶µÄÈ·¶¨£º°ë¾¶Ò»°ã¶¼ÔÚÈ·¶¨Ô²ÐĵĻù´¡ÉÏÓÃÆ½Ã漸ºÎ֪ʶÇó½â£¬³£³£ÊǽâÖ±½ÇÈý½ÇÐΣ®
Ô˶¯Ê±¼äµÄÈ·¶¨£ºÀûÓÃÔ²ÐÄÓëÏÒÇнǵĹØÏµ¼ÆËã³öÁ£×ÓËùת¹ýµÄÔ²ÐĽǦȵĴóС£¬Óù«Ê½
ÔÙÕß¾ÍÊÇÒªÕýÈ·»³öÁ£×ÓÔ˶¯µÄ¹ì¼£Í¼£¬ÄÜÊìÁ·µÄÔËÓü¸ºÎ֪ʶ½â¾öÎïÀíÎÊÌ⣮
Á·Ï°²áϵÁдð°¸
Ïà¹ØÌâÄ¿