题目内容

在利用自由落体运动验证“机械能守恒定律”的实验中:

(1)打点计时器所接交流电的频率为50Hz,甲、乙两条实验纸带如图所示,应选_________纸带好.

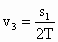
若通过测量纸带上某两点间的距离来计算瞬时速度,进行验证,设已测得点2到4间距离为,点0到3间距离为,打点周期为T,为验证重物开始下落到打点计时器打下点3这段时间内机械能守恒,实验后,和T应满足的关系为_________

答案:略
解析:

(1)

(2)

(1)自由落体运动在t=0.02s内,下落的高度,故应选甲纸带.(2)据机械能守恒定律,有.整理得


练习册系列答案
相关题目

违法和不良信息举报电话:027-86699610 举报邮箱:58377363@163.com

精英家教网