题目内容
如图所示为粮食仓库中常用的皮带传输装置示意图,它由两台皮带传送机组成,一台水平传送,A、B两端相距L1=3m;另一台倾斜传送,传送带与地面间的倾角θ=37°,C、D两端相距L2=4.45m,B、C相距很近.水平传送带以v=5m/s沿顺时针方向转动.现将质量为m=10kg的一袋大米无初速度的放在A端,它随传送带到达B点后,速度大小不变的传到倾斜传送带的C端.米袋与两传送带之间的动摩擦因素均为μ=0.5,取g=10m/s2,sin37°=0.6,cos37°=0.8(1)若倾斜传送带CD不转动,则米袋沿传送带CD所能上滑的最大距离是多少?
(2)若倾斜传送带CD以v=4m/s的速率沿顺时针方向转动,则米袋从C端运动到D端的时间为多少?
【答案】分析:(1)分析静止的物体在AB传送带上受滑动摩擦力作用做匀加速直线运动,已知动摩擦因数,可求滑动摩擦力对物体产生的加速度,物体在AB传送带上已知初速度、加速度、位移可以求物体到达B端时的速度(注意此速度不能大于传送带的速度,要注意判断),同理在CD传送带上,已知物体的初速度、动摩擦因数和传送带的倾角,物体在重力、传送带支持力和滑动摩擦力共同作用下做匀减速直线运动,所以可以求出物体沿传送带上升的最大距离;
(2)CD传送带转动的情况下,物体先做匀减速直线运动,当速度减到和传送带速度一样时,滑动摩摩擦力将改变方向.所以物体做匀减速直线运动两段时间内的加速度不一样,然后根据匀变速直线运动的规律可求得米袋从C端运动到D端的时间.
解答:解:(1)米袋在AB在滑动摩擦力作用下产生的加速度为
米袋在滑动摩擦力作用下速度增加到v=5m/s时滑过的距离
故米袋先加速一段时间后再与传送带一起匀速运动,到达才C端速度为v=5m/s
设米袋在CD传送带上受重力、支持力和沿传送带向下的滑动摩擦力共同作用下产生的加速度大小为a,据牛顿第二定律有:
=10×0.6+0.5×10×0.8m/s2=10m/s2
物体在CD上做匀减速直线运动,故上滑的最大距离
(2)CD顺时针转动时,米袋速度减为v=4m/s之前,滑动摩擦沿传送带向下,根据牛顿第二定律有:
米袋产生加速度的大小为
代入数据得
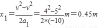
因为米袋做匀减速直线运动,故此时米袋上滑的距离

当米袋速度达到v=4m/s后,由于μmgcosθ<mgsinθ,米袋继续减速上滑,但因米袋速度小于传送带速度,故滑动摩擦力沿传送带向上
故由牛顿第二定律得物体继续做匀减速直线运动的加速度大小为:

代入数据得
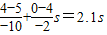
因为米袋做匀减速直线运动,当米袋速度减到0时,米袋上滑的距离

又因为x1+x2=4.45m=L2,即米袋速度为零时米袋刚好到达D端
根据运动学规律可知,米袋从C到D共经历的时间t=
答:CD能沿传送带上滑的最大距离为1.25m;若倾斜传送带CD以v=4m/s的速率沿顺时针方向转动,则米袋从C端运动到D端的时间为2.1s.
点评:皮带静止时,米袋在滑动摩擦力作用下做匀减速直线运动,求上滑最大位移比较好处理,当皮带顺时针转动时,物体在皮带上滑行时受到滑动摩擦力的方向跟米袋与传送带之间的速度差有关,米袋速度大于传送带时,滑动摩擦力方向沿传送带向下,当米袋速度小于传送带时,滑动摩擦力的方向沿传送带向上.
(2)CD传送带转动的情况下,物体先做匀减速直线运动,当速度减到和传送带速度一样时,滑动摩摩擦力将改变方向.所以物体做匀减速直线运动两段时间内的加速度不一样,然后根据匀变速直线运动的规律可求得米袋从C端运动到D端的时间.
解答:解:(1)米袋在AB在滑动摩擦力作用下产生的加速度为
米袋在滑动摩擦力作用下速度增加到v=5m/s时滑过的距离
故米袋先加速一段时间后再与传送带一起匀速运动,到达才C端速度为v=5m/s
设米袋在CD传送带上受重力、支持力和沿传送带向下的滑动摩擦力共同作用下产生的加速度大小为a,据牛顿第二定律有:
物体在CD上做匀减速直线运动,故上滑的最大距离
(2)CD顺时针转动时,米袋速度减为v=4m/s之前,滑动摩擦沿传送带向下,根据牛顿第二定律有:
米袋产生加速度的大小为
代入数据得
因为米袋做匀减速直线运动,故此时米袋上滑的距离
当米袋速度达到v=4m/s后,由于μmgcosθ<mgsinθ,米袋继续减速上滑,但因米袋速度小于传送带速度,故滑动摩擦力沿传送带向上
故由牛顿第二定律得物体继续做匀减速直线运动的加速度大小为:
代入数据得
因为米袋做匀减速直线运动,当米袋速度减到0时,米袋上滑的距离
又因为x1+x2=4.45m=L2,即米袋速度为零时米袋刚好到达D端
根据运动学规律可知,米袋从C到D共经历的时间t=
答:CD能沿传送带上滑的最大距离为1.25m;若倾斜传送带CD以v=4m/s的速率沿顺时针方向转动,则米袋从C端运动到D端的时间为2.1s.
点评:皮带静止时,米袋在滑动摩擦力作用下做匀减速直线运动,求上滑最大位移比较好处理,当皮带顺时针转动时,物体在皮带上滑行时受到滑动摩擦力的方向跟米袋与传送带之间的速度差有关,米袋速度大于传送带时,滑动摩擦力方向沿传送带向下,当米袋速度小于传送带时,滑动摩擦力的方向沿传送带向上.
练习册系列答案
相关题目