题目内容
A.感应电流所做的功为mgd
B.感应电流所做的功为2mgd
C.线圈的最小速度可能为
D.线圈的最小速度一定为
【答案】分析:线圈由静止释放,其下边缘刚进入磁场和刚穿出磁场时刻的速度是相同的,又因为线圈全部进入磁场不受安培力,要做匀加速运动.可知线圈进入磁场先要做减速运动.
解答:解:A、根据能量守恒研究从cd边刚进入磁场到cd边刚穿出磁场的过程:动能变化为0,重力势能转化为线框产生的热量,Q=mgd.
cd边刚进入磁场时速度为v,cd边刚离开磁场时速度也为v,
所以从cd边刚穿出磁场到ab边离开磁场的过程,线框产生的热量与从cd边刚进入磁场到cd边刚穿出磁场的过程产生的热量相等,
所以线圈从cd边进入磁场到ab边离开磁场的过程,产生的热量Q′=2mgd,感应电流做的功为2mgd.故A错误,B正确.
C、线框可能先做减速运动,在完全进入磁场前做匀速运动,因为完全进入磁场时的速度最小,则mg=
,则最小速度v=
.故C正确.
D、因为进磁场时要减速,即此时的安培力大于重力,速度减小,安培力也减小,当安培力减到等于重力时,线圈做匀速运动,全部进入磁场将做加速运动,
设线圈的最小速度为vm,知全部进入磁场的瞬间速度最小.
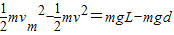
由动能定理,从cd边刚进入磁场到线框完全进入时,则有
有
,综上所述,线圈的最小速度为
.故 D正确.
故选BCD.
点评:解决本题的关键根据根据线圈下边缘刚进入磁场和刚穿出磁场时刻的速度都是v,且全部进入磁场将做加速运动,判断出线圈进磁场后先做变减速运动,也得出全部进磁场时的速度是穿越磁场过程中的最小速度.
解答:解:A、根据能量守恒研究从cd边刚进入磁场到cd边刚穿出磁场的过程:动能变化为0,重力势能转化为线框产生的热量,Q=mgd.
cd边刚进入磁场时速度为v,cd边刚离开磁场时速度也为v,
所以从cd边刚穿出磁场到ab边离开磁场的过程,线框产生的热量与从cd边刚进入磁场到cd边刚穿出磁场的过程产生的热量相等,
所以线圈从cd边进入磁场到ab边离开磁场的过程,产生的热量Q′=2mgd,感应电流做的功为2mgd.故A错误,B正确.
C、线框可能先做减速运动,在完全进入磁场前做匀速运动,因为完全进入磁场时的速度最小,则mg=
D、因为进磁场时要减速,即此时的安培力大于重力,速度减小,安培力也减小,当安培力减到等于重力时,线圈做匀速运动,全部进入磁场将做加速运动,
设线圈的最小速度为vm,知全部进入磁场的瞬间速度最小.
由动能定理,从cd边刚进入磁场到线框完全进入时,则有
有
故选BCD.
点评:解决本题的关键根据根据线圈下边缘刚进入磁场和刚穿出磁场时刻的速度都是v,且全部进入磁场将做加速运动,判断出线圈进磁场后先做变减速运动,也得出全部进磁场时的速度是穿越磁场过程中的最小速度.
练习册系列答案
相关题目