题目内容
如图所示,有一带电粒子(不计重力)紧贴A板沿水平方向射入匀强电场,当偏转电压为U1时,带电粒子沿轨迹①从两板中间飞出;当偏转电压为U2时,带电粒子沿轨迹②落到B板正中间;设带电粒子两次射入电场的水平速度相同,则电压U1、U2之比为( )A.1:1
B.1:2
C.1:4
D.1:8
【答案】分析:带电粒子沿水平方向进入电场,做类平抛运动,水平方向做匀速直线运动,竖直方向做匀加速直线运动.由题可知第一种情况:水平位移等于板长,竖直位移等于板间距离的一半;第二种情况:水平位移等于板长的一半,竖直位移等于板间距离,根据牛顿第二定律和运动学公式结合求解.
解答:解:设平行板电容器板为L,板间距离为d,粒子的初速度为v.
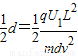
则对于第一种情况:y1=
=
,t1=
得到
,U1=
同理对于第二种情况:得到U2=8
所以U1:U2=1:8
故选D
点评:本题是类平抛运动的问题,采用运动的分解法处理.本题采用比例法研究时,要用相同的量表示出电压,再求解比值.
解答:解:设平行板电容器板为L,板间距离为d,粒子的初速度为v.
则对于第一种情况:y1=
同理对于第二种情况:得到U2=8
所以U1:U2=1:8
故选D
点评:本题是类平抛运动的问题,采用运动的分解法处理.本题采用比例法研究时,要用相同的量表示出电压,再求解比值.
练习册系列答案
相关题目