题目内容
如图所示,A、B、C三点为一直角三角形的三个顶点,∠B=45°,在A、B两点放置两个点电荷qA和q B,测得C点场强方向与AB平行,则q A带 (选填“正”或”负”)电荷,q A:q B= .
【答案】分析:通过假设法,根据C点合场强的方向判断出A电荷的电性,根据点电荷的场强公式,通过距离点电荷的距离,求出电荷量之比.
解答:
解:若A、B都为正电荷,都为负电荷,或A为正电荷,B为负电荷,C点合场强的方向不可能与AB平行.所以A为负电荷、B为正电荷,如图所示:
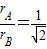
根据平行四边形定则,知A、B在C点的场强之比为
.
又点电荷的场强公式为E=k
,C点距离A、B两点间的距离比
,可知
.
故答案为:负电,1:2
.
点评:解决本题的关键掌握点电荷场强的公式,以及知道场强的叠加遵循平行四边形定则.
解答:
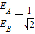
根据平行四边形定则,知A、B在C点的场强之比为
又点电荷的场强公式为E=k
故答案为:负电,1:2
点评:解决本题的关键掌握点电荷场强的公式,以及知道场强的叠加遵循平行四边形定则.
练习册系列答案
相关题目