题目内容
一个质点从静止开始做匀加速直线运动.已知它在 第4s内 的位移是14m.求:(1)质点运动的加速度;
(2)它前进72m所用的时间.
【答案】分析:初速度为零的匀加速直线运动,第4s内的位移等于前4s内的位移减去前3s内的位移,根据公式即可求得加速度a,在加速度已知的情况下,据
,可得t=
可得时间.
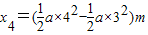
解答:解:(1)因为质点从静止开始运动,故令质点运动的加速度为a,第4s内的位移x4=14m
则根据x=
得:
第4s内的位移为
得:
a=
=4m/s2
(2)因为质点做初速度为0的匀加速直线运动,已知a=4m/s2,x=72m,求时间t
据x=
得
t=
=
答:质点运动的加速度为4m/s2;它前进72m所用时间t=6s.
点评:注意区分第4s内的位移和前4s内的位移.用初速度为0的运动学公式直接求解即可.
解答:解:(1)因为质点从静止开始运动,故令质点运动的加速度为a,第4s内的位移x4=14m
则根据x=
第4s内的位移为
a=
(2)因为质点做初速度为0的匀加速直线运动,已知a=4m/s2,x=72m,求时间t
据x=
t=
答:质点运动的加速度为4m/s2;它前进72m所用时间t=6s.
点评:注意区分第4s内的位移和前4s内的位移.用初速度为0的运动学公式直接求解即可.
练习册系列答案
相关题目