题目内容
光滑斜面的长度为L,一物体自斜面顶端由静止开始匀加速滑至底端,经历的时间为t,则下列说法不正确的是( )
A.物体运动全过程中的平均速度是![]()
B.物体在t/2时的瞬时速度是![]()
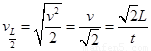
C.物体运动到斜面中点时瞬时速度是![]()
D.物体从顶点运动到斜面中点所需的时间是![]()
【答案】
B
【解析】
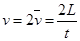
试题分析:物体在光滑的斜面上做匀加速直线运动,由运动学公式可知,物体中间时刻的瞬时速度等于全程的平均速度,有
,所以A正确、B错误;所以可得物体滑至底端时的速度
,中点位移时的瞬时速度为
,所以C正确;由初速度为零的运动学比例式可知物体前半段位移所用时间与全程所用时间之比为
,故可知物体从顶点运动到斜面中点用时
,故D正确;题目选择不正确的,所以选择B。
考点:匀变速直线运动
练习册系列答案
相关题目
光滑斜面的长度为L,一物体自斜面顶端由静止开始匀加速滑至底端,经历的时间为t,则下列说法不正确的是( )
A、物体在
| ||||
B、物体运动到斜面中点时瞬时速度是
| ||||
C、物体从顶点运动到斜面中点所需的时间是
| ||||
D、物体运动全过程中的平均速度是
|