题目内容
光滑斜面的长度为L,一物体自斜面顶端由静止开始匀加速滑至低端,经历的时间为t,则以下结论错误的是( )
A.物体在运动全过程中的平均速度是L/t;
B.物体在t/2时的瞬时速度为2L/t;
C.物体运动到斜面中点时的瞬时速度是
;
D.物体从顶端运动到斜面中点所需时间是![]()
【答案】
B
【解析】
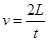
试题分析:据题意,物体沿斜面做匀加速下滑,平均速度为:
,则A选项正确;物体在
时刻的瞬时速度等于物体在t时间内的平均速度,
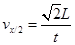
,则B选项错误;物体运动到斜面质点的瞬时速度为:
,由于初速度为0,而
,则
,所以
,故C选项正确;物体从斜面顶端运动到斜面中点的时间为:
计算得
,所以D选项正确,据题目要求,应该选择B选项。
考点:本题考查匀变速直线运动规律。
练习册系列答案
相关题目
光滑斜面的长度为L,一物体自斜面顶端由静止开始匀加速滑至底端,经历的时间为t,则下列说法不正确的是( )
A、物体在
| ||||
B、物体运动到斜面中点时瞬时速度是
| ||||
C、物体从顶点运动到斜面中点所需的时间是
| ||||
D、物体运动全过程中的平均速度是
|