题目内容

物体以速度v匀速通过直线上的AB两点,所用时间为t;现在物体从A点由静止出发,先匀加速直线运动(加速度为a1)到某一最大速度vm后立即做匀减速直线运动(加速度大小为a2)至B点速度恰好减为0,所用时间仍为t.则物体的

A.

vm只能为2v,与a1a2的大小无关

B.

vm可为许多值,与a1a2的大小有关

C.

a1a2须是一定的

D.

a1a2必须满足

答案:AD
解析:

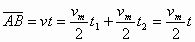
得,,与a1a2的大小无关,故A正确;由,即得,D也正确.


练习册系列答案
相关题目

违法和不良信息举报电话:027-86699610 举报邮箱:58377363@163.com

精英家教网