题目内容
某型号的舰载飞机在航空母舰的跑道上加速时,发动机产生的最大加速度为5m/s2,所需的起飞速度为50m/s,跑道长100m.设飞机起飞对航空母舰的运动状态没有影响,飞机的运动可以看作匀加速运动.(1)请你通过计算判断,飞机能否靠自身的发动机从静止的舰上起飞;
(2)为了保证飞机能从静止的舰上安全起飞,航空母舰必须装有弹射系统,使飞机在开始起飞时就有一定的初速度.对于该型号的舰载飞机,弹射系统必须使它具有多大的初速度才能使它安全起飞.(已知
【答案】分析:根据位移-速度关系式解出飞机起飞所需的位移,与跑道100m比较大小,可知能否起飞;第二过程中再次应用位移-速度关系式解出飞机起飞的初速度.
解答:解:(1)假设需要跑道长为x1,根据位移-速度关系式:vt2-v2=2ax1,
则x1=
m=250m>100m
所以,飞机不能靠自身的发动机起飞.
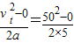
(2)根据位移-速度关系式:vt2-v2=2ax
得:
m=
m≈38.7m/s
答:(1)飞机不能靠自身的发动机从静止的舰上起飞;(2)弹射系统必须使它具有38.7m/s 初速度才能使它安全起飞.
点评:本题是匀变速直线运动的基本公式的直接应用,属于比较简单的题目,解题时要学会选择不同阶段重复使用同一个公式,这样问题就会迎刃而解.
解答:解:(1)假设需要跑道长为x1,根据位移-速度关系式:vt2-v2=2ax1,
则x1=
所以,飞机不能靠自身的发动机起飞.
(2)根据位移-速度关系式:vt2-v2=2ax
得:
答:(1)飞机不能靠自身的发动机从静止的舰上起飞;(2)弹射系统必须使它具有38.7m/s 初速度才能使它安全起飞.
点评:本题是匀变速直线运动的基本公式的直接应用,属于比较简单的题目,解题时要学会选择不同阶段重复使用同一个公式,这样问题就会迎刃而解.
练习册系列答案
相关题目