ÌâÄ¿ÄÚÈÝ

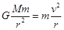
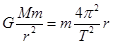
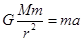
ÃÀ¹úµÄÈ«ÇòÎÀÐǶ¨Î»ÏµÍ³£¨¼ò³ÆGPS£©ÓÉ24¿ÅÎÀÐÇ×é³É£¬ÕâЩÎÀÐÇ¾àµØÃæµÄ¸ß¶È¾ùΪ20000km£®ÎÒ¹úµÄ¡°±±¶·Ò»ºÅ¡±ÎÀÐǶ¨Î»ÏµÍ³ÓÉÈý¿ÅÎÀÐÇ×é³É£¬Èý¿ÅÎÀÐǶ¼¶¨Î»ÔÚ¾àµØÃæ36000kmµÄµØÇòͬ²½¹ìµÀÉÏ£®±È½ÏÕâЩÎÀÐÇ£¬ÏÂÁÐ˵·¨ÖÐÕýÈ·µÄÊÇ

A£®¡°±±¶·Ò»ºÅ¡±ÏµÍ³ÖеÄÈý¿ÅÎÀÐǵÄÖÊÁ¿±ØÐëÏàͬ
B£®GPSµÄÎÀÐDZȡ°±±¶·Ò»ºÅ¡±µÄÎÀÐÇÖÜÆÚ¶Ì
C£®GPSµÄÎÀÐDZȡ°±±¶·Ò»ºÅ¡±µÄÎÀÐǵļÓËÙ¶È´ó
D£®GPSµÄÎÀÐDZȡ°±±¶·Ò»ºÅ¡±µÄÎÀÐǵÄÔËÐÐËÙ¶ÈС

BC

½âÎöÊÔÌâ·ÖÎö£º¡°±±¶·Ò»ºÅ¡±ÏµÍ³ÖеÄÈý¿ÅÎÀÐÇÈÆµØÇò×öÔÈËÙÔ²ÖÜÔ˶¯£¬ÓëÖÐÐÄÌìÌåµÄÖÊÁ¿Óйأ¬ÓëÈý¿ÅÎÀÐǵÄÖÊÁ¿Î޹أ®¹ÊA´íÎó£»Óɼ´¹ìµÀ°ë¾¶Ô½Ð¡ÔËÐÐÖÜÆÚÔ½¶Ì£¬BÕýÈ·£»¸ù¾Ý¿ÉÖª£¬¹ìµÀ°ë¾¶Ô½Ð¡¼ÓËÙ¶ÈÔ½´ó£¬CÕýÈ·£»¸ù¾Ý¿ÉÖª£¬¹ìµÀ°ë¾¶Ô½´ó£¬¶¯ÐÐËÙ¶ÈԽС£¬D´íÎó¡£
¿¼µã£ºÈËÔìÎÀÐǵļÓËÙ¶È£¬ÖÜÆÚÓë¹ìµÀ°ë¾¶µÄ¹ØÏµ

Á·Ï°²áϵÁдð°¸
Ïà¹ØÌâÄ¿

Î¥·¨ºÍ²»Á¼ÐÅÏ¢¾Ù±¨µç»°£º027-86699610 ¾Ù±¨ÓÊÏ䣺58377363@163.com

¾«Ó¢¼Ò½ÌÍø