题目内容

两大小相同的实心小铁球紧靠在一起,它们之间的万有引力为F,若两个半径是小铁球2倍的实心大铁球紧靠在一起,则它们之间的万有引力为

[  ]

A.2F
B.4F
C.8F
D.16F

答案:D
解析:

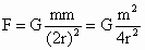
铁球间万有引力:大铁球半径是小铁球的2倍,其质量分别为小铁球:

大铁球:

故两个大铁球间的万有引力


练习册系列答案
相关题目

违法和不良信息举报电话:027-86699610 举报邮箱:58377363@163.com

精英家教网