题目内容
分别用λ和
【答案】分析:根据光速、频率、波长之间的关系可知光子的能量为
,然后根据爱因斯坦光电效应方程,即可求解.
解答:解:设此金属的逸出功为W,根据光电效应方程得如下两式:
当用波长为λ的光照射时:
①
当用波长为34λ的光照射时:
②
又
③
解①②③组成的方程组得:
.
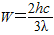
故此金属板的逸出功是:
.
点评:本题比较简单,但是涉及物理量比较多,在应用公式的同时要理清物理量之间的关系,同时要熟练应用爱因斯坦光电效应方程.
解答:解:设此金属的逸出功为W,根据光电效应方程得如下两式:
当用波长为λ的光照射时:
当用波长为34λ的光照射时:
又
解①②③组成的方程组得:
故此金属板的逸出功是:
点评:本题比较简单,但是涉及物理量比较多,在应用公式的同时要理清物理量之间的关系,同时要熟练应用爱因斯坦光电效应方程.
练习册系列答案
相关题目