ÌâÄ¿ÄÚÈÝ
(15·Ö)½¨Öþ¹¤µØÉϳ£ÓÃÉý½µ»ú½«½¨²Ä´ÓµØÃæÌáÉýµ½ÐèÒª µÄ¸ß¶È£®Ä³´ÎÌáÉý½¨²Äʱ£¬Ñо¿ÈËÔ±ÔÚÉý½µ»úµ×°å°²×°ÁËѹÁ¦´«¸ÐÆ÷£¬¿ÉÒÔÏÔʾ½¨²Ä¶ÔÉý½µ»úµ×°åѹÁ¦µÄ´óС£®ÒÑÖª½¨²Ä·ÅÉÏÉý½µ»úºó£¬Éý½µ»úÏȾ²Ö¹ÁËt0=1s£¬È»ºóÆô¶¯£¬7sÄ©¸ÕºÃÍ£Ö¹Ô˶¯£¬ÔÚÕâ7sÄÚѹÁ¦´«¸ÐÆ÷µÄʾÊýÈçͼËùʾ£®µ±µØÖØÁ¦¼ÓËÙ¶ÈgÈ¡10m/s2£®Çó
![]()
¢ÅÕû¸ö¹ý³ÌÖÐÉý½µ»úµÄ×î´óËٶȼ°Õû¸ö¹ý³ÌÖн¨²ÄÉÏÉýµÄ¸ß¶Èh.£»
¢ÆÔÚ5s~7sÄÚѹÁ¦´«¸ÐÆ÷µÄʾÊýF¡£
¡¾´ð°¸¡¿
£¨1£©12m (2) F=4000N
¡¾½âÎö¡¿
ÊÔÌâ·ÖÎö£º£¨1£©½¨²ÄÖÊÁ¿Îªm=
£¨1·Ö£©
ÔÚ1s~5sÄÚ¼ÓËÙ¶ÈΪa1=
£¨3·Ö£©
×î´óËÙ¶ÈΪv=a1t1=4m/s £¨2·Ö£©
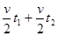
h=
=12m
£¨2·Ö£©
(2) ÔÚ5s~7sÄÚ£¬¼ÓËÙ¶ÈΪa2=
£¨2·Ö£©
ÓÉÅ£¶ÙµÚ¶þ¶¨ÂÉ£¬ÓÐmg-F=ma2 £¨3·Ö£©
½âµÃѹÁ¦´«¸ÐÆ÷µÄʾÊý F=4000N £¨1·Ö£©
¿¼µã£ºÅ£¶ÙµÚ¶þ¶¨ÂÉ
Á·Ï°²áϵÁдð°¸
Ïà¹ØÌâÄ¿
½¨Öþ¹¤µØÉϳ£ÓõĽ«×©¡¢Ë®Äà°åµÈ½¨Öþ²ÄÁÏÏò¸ß´¦ÔËÊäµÄ¡°Éϰå»ú¡°£¬Æä¹¤×÷µçѹΪ220V£¬ÄÚ×èΪ5.5¦¸£¬¹¦ÂÊΪ2.2KW£¬ÒÔ0.33m/sµÄËÙ¶ÈÔËËÍ500Kg½¨²ÄÔÈËÙÉÏÉý£¬g=10m/s2£®Ôò¡°Éϰå»ú¡°ÌáÉý½¨²ÄµÄ¹¦Âʼ°ÆäЧÂÊ·Ö±ðÊÇ£¨¡¡¡¡£©
| A¡¢2.2KW¡¢100% | B¡¢0.55W£¬25% | C¡¢2.2KW¡¢75% | D¡¢1.65KW¡¢75% |