ÌâÄ¿ÄÚÈÝ

Ì«¿ÕÖеĦÃÉäÏß±©ÊÇ´ÓºÜÔ¶µÄÐÇÇò·¢Éä³öÀ´µÄ£®µ±¦ÃÉäÏß±©·¢Éúʱ£¬ÊýÃëÄÚÊͷŵÄÄÜÁ¿´óÖÂÏ൱ÓÚµ±Ç°Ì«ÑôÖÊÁ¿È«²¿·¢Éú¿÷ËðËùÊͷŵÄÄÜÁ¿£®ÒÑ֪̫Ñô¹â´ÓÌ«Ñôµ½µØÇòÐèҪʱ¼äΪt£¬µØÇòÈÆÌ«Ñô¹«×ªµÄÖÜÆÚΪT£¬Õæ¿ÕÖеĹâËÙΪc£¬ÍòÓÐÒýÁ¦³£Á¿ÎªG£®(1)¸ù¾ÝÒÔÉϸø³öµÄÎïÀíÁ¿Ð´³öÌ«ÑôÖÊÁ¿MµÄ±í´ïʽ£®(2)ÍÆËãÒ»´Î¦ÃÉäÏß±©·¢ÉúʱËùÊͷŵÄÄÜ(Á½Îʶ¼ÒªÇóÓÃÌâÖиø³öµÄÎïÀíÁ¿±íʾ)£®

´ð°¸£º
½âÎö£º

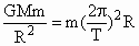
¡¡¡¡(1)ÉèµØÇòÈÆÌ«ÑôÔ˶¯¹ìµÀ°ë¾¶ÎªR£¬µØÇòÖÊÁ¿Îªm£¬¸ù¾ÝÍòÓÐÒýÁ¦¹«Ê½µÃ

¡¡¡¡¡¡¢Ù¡¡(5·Ö)

¡¡¡¡ÓÖR£½ct¡¡¢Ú¡¡(2·Ö) ¡¡Óɢ٢ڵãͣ½4¦Ð2t3c3/GT2¡¡(2·Ö)

¡¡¡¡(2)¸ù¾ÝÌâÒ⣬¦ÃÉäÏß±©·¢Éúʱ£¬ÄÜÁ¿´óÖÂÏ൱ÓÚµ±Ç°Ì«ÑôÖÊÁ¿È«²¿·¢Éú¿÷ËðËùÊͷŵÄÄÜÁ¿

¡¡¡¡Ôò¸ù¾Ý°®Òò˹̹ÖÊÄÜ·½³Ì¡¡(5·Ö)¡¡ÓÉ(1)¿É֪̫ÑôÖÊÁ¿Îª£Í£½4¦Ð2t3c3/GT2¡¡£½4¦Ð2t3c3/GT2¡¡(2·Ö)¡¡4¦Ð2t3c5/GT2¡¡(2·Ö)¡¡¼´Ò»´Î¦ÃÉäÏß±©·¢ÉúʱËùÊͷŵÄÄÜ4¦Ð2t3c5/GT2¡¡(1·Ö)


Á·Ï°²áϵÁдð°¸
Ïà¹ØÌâÄ¿

Î¥·¨ºÍ²»Á¼ÐÅÏ¢¾Ù±¨µç»°£º027-86699610 ¾Ù±¨ÓÊÏ䣺58377363@163.com

¾«Ó¢¼Ò½ÌÍø