题目内容
如图所示,MN、PQ是平行金属板,板长为L,两板间距离为d,PQ带正电,MN板带负电,在PQ板的上方有垂直纸面向里的匀强磁场.一个电荷量为q、质量为m的带负电粒子以速度v从MN板边缘沿平行于板的方向射入两板间,结果粒子恰好从PQ板左边缘飞进磁场,然后又恰好从PQ板的右边缘飞进电场.不计粒子重力.试求:(1)两金属板间所加电压U的大小;
(2)匀强磁场的磁感应强度B的大小;
(3)在图中正确画出粒子再次进入电场中的运动轨迹,并标出粒子再次从电场中飞出的速度方向.
【答案】分析:(1)带电粒子在平行金属板间做的是类平抛运动,对物体受力分析,根据平抛运动的规律可以求得电压的大小;
(2)带电粒子以速度v飞出电场后射入匀强磁场做匀速圆周运动,根据粒子的运动画出运动的轨迹,由几何关系可以求得磁感强度的大小;
(3)根据粒子的运动的情况画出粒子的运动的轨迹.
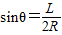
解答:(1)设带电粒子在平行金属板匀强电场中运动的时间为t,
由类平抛运动可知:
L=vt…①
…②
…③
…④
联立求解①~④式解得:
…⑤
本题也可以由动能定理和运动的合成、分解的方法,联立求解得出正确的结果.
设带电粒子第一次飞出电场时的速度为v
即由动能定理
;
v2=v2+vy2;
vy=at
①③④联立可得

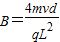
(2)带电粒子以速度v飞出电场后射入匀强磁场做匀速圆周运动,
由
…⑥
…⑦
…⑧
vy=at…⑨
联立求解①③④⑤⑥⑦⑧⑨可得
…⑩
或由下列常规方法求解:
vy=at…(1)
…(2)
…(3)
…(4)
…(5)
联立以上有关方程求解可得:
…(6)
(3)粒子的运动的轨迹如图所示.

点评:本题考查带电粒子在匀强磁场中的运动,要掌握住半径公式、周期公式,画出粒子的运动轨迹后,几何关系就比较明显了.
(2)带电粒子以速度v飞出电场后射入匀强磁场做匀速圆周运动,根据粒子的运动画出运动的轨迹,由几何关系可以求得磁感强度的大小;
(3)根据粒子的运动的情况画出粒子的运动的轨迹.
解答:(1)设带电粒子在平行金属板匀强电场中运动的时间为t,
由类平抛运动可知:
L=vt…①
联立求解①~④式解得:
本题也可以由动能定理和运动的合成、分解的方法,联立求解得出正确的结果.
设带电粒子第一次飞出电场时的速度为v
即由动能定理
v2=v2+vy2;
vy=at
①③④联立可得
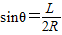
(2)带电粒子以速度v飞出电场后射入匀强磁场做匀速圆周运动,
由
vy=at…⑨
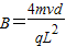
联立求解①③④⑤⑥⑦⑧⑨可得
或由下列常规方法求解:
vy=at…(1)
联立以上有关方程求解可得:
(3)粒子的运动的轨迹如图所示.
点评:本题考查带电粒子在匀强磁场中的运动,要掌握住半径公式、周期公式,画出粒子的运动轨迹后,几何关系就比较明显了.
练习册系列答案
相关题目
| π |
| 2 |
A、在t=1s时刻电流表的示数为
| ||||
| B、导体棒两端的最大电压为1V | ||||
| C、单位时间内电阻R上产生的焦耳热为0.25J | ||||
| D、从t=0至t=3s的时间内水平外力所做的功为0.75J |