题目内容
一个做匀变速直线运动的质点,其位移随时间的变化规律x=2t+3t2(m),则该质点的初速度为 m/s,速度与时间的关系式为 .(式子中t的单位是s)
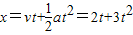
【答案】分析:根据匀变速直线运动的位移时间公式
得出质点的初速度和加速度,从而的才速度时间的关系式.
解答:解:由
得,质点的初速度为2m/s,加速度为6m/s2,则速度时间的关系式为v=v+at=2+6t.
故答案为:2,v=2+6t.
点评:解决本题的关键掌握匀变速直线运动的速度时间公式和位移时间公式,并能灵活运用.
解答:解:由
故答案为:2,v=2+6t.
点评:解决本题的关键掌握匀变速直线运动的速度时间公式和位移时间公式,并能灵活运用.
练习册系列答案
相关题目
| A、v=(4+2t) m/s | B、v=(-4+2t) m/s | C、v=(-4-2t) m/s | D、v=(4-2t) m/s |
一个做匀变速直线运动的物体,其位移与运动时间的关系式为s=4t+2t2,从t=0时刻开始计时,则( )
| A、物体运动的初速度为4m/s | B、物体运动的加速度大小为2m/s2 | C、物体第2秒末的速度为8m/s | D、物体第2秒内的位移为10m |