题目内容
对于一定质量的气体来说
[ ]
A.无论温度如何变化,压强/密度=常量
B.在恒定温度下,压强/密度=常量
C.无论温度如何变化,压强×密度=常量
D.在恒定温度下,压强×密度=常量
答案:B
解析:
解析:
|
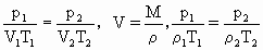
可以把理想气体状态方程加以变换 |
练习册系列答案
相关题目
题目内容
对于一定质量的气体来说
[ ]
A.无论温度如何变化,压强/密度=常量
B.在恒定温度下,压强/密度=常量
C.无论温度如何变化,压强×密度=常量
D.在恒定温度下,压强×密度=常量
|
可以把理想气体状态方程加以变换 |