题目内容
小球以初速度v水平抛出,用vt表示小球某时刻的速度,△v表示小球速度的改变量,s表示小球的位移,Ek表示小球某时刻的动能,不计空气阻力,则下列各图的关系正确的是( )A.
B.
C.
D.
【答案】分析:平抛运动在水平方向上做匀速直线运动,在竖直方向上做自由落体运动,根据运动学公式分别推导出vt、△v、s、Ek与时间的关系式,从而确定图线的正确还是错误.
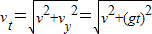
解答:解:A、平抛运动在竖直方向上的分速度vy=gt,
.知vt与t不成线性关系.故A错误.
B、平抛运动是匀变速运动曲线运动,加速度不变,△v=gt,知速度变化量与时间成正比.故B正确.
C、小球的水平位移x=vt,
,则s=
=
,知s与t不成线性关系.故C错误.
D、动能
.知Ek与时间不成线性关系.故D错误.
故选B.
点评:解决本题的关键知道平抛运动是匀变速曲线运动,在水平方向上做匀速直线运动,在竖直方向上做自由落体运动,掌握水平方向和竖直方向上的运动规律公式.
解答:解:A、平抛运动在竖直方向上的分速度vy=gt,
B、平抛运动是匀变速运动曲线运动,加速度不变,△v=gt,知速度变化量与时间成正比.故B正确.
C、小球的水平位移x=vt,
D、动能
故选B.
点评:解决本题的关键知道平抛运动是匀变速曲线运动,在水平方向上做匀速直线运动,在竖直方向上做自由落体运动,掌握水平方向和竖直方向上的运动规律公式.
练习册系列答案
相关题目