题目内容

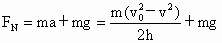
飞船降落工程中,在离地面高度为h处速度为,此时开动反冲火箭,使船开始做减速运动,最后落地时的速度减为v.若把这一过程当作为

匀减速运动来计算,则其加速度的大小等于________.已知地球表面处的重力加速度为g,航天员的质量为m,在这过程中航天员对坐椅的压力等于_______.

答案:略
解析:

由匀变速运动公式:,可得:

根据牛顿第二定律,可得:


练习册系列答案
相关题目

  1999年11月20日我国发射了“神舟”号载入航天试验飞船,飞船顺利升空,在绕地球飞行一段时间后,于11月21日安全降落在内蒙古中部地区.航空航天是一个集物理、化学、生物、天文、地理、工程、气象等多学科的综合性工程.请解答:

(1)载人航天飞船的发射升空和降落时,如果宇航员保持直立姿态,则他的心血管系统会受到何种影响?你认为宇航员应采取什么姿态?

(2)在轨道上为了将已烧完的燃料分开,采用引爆爆炸螺栓中的炸药,炸断螺栓,同时火箭和载人航天飞船分别向后和向前进,在此以后

[  ]

A.火箭和航天飞船仍在同一圆轨道上运动

B.火箭将进入较低轨道,而航天飞船将进入较高轨道

C.火箭将进入较高轨道,而航天飞船将进入较低轨道

D.火箭将自由落体而坠落,航天飞船仍在原轨道运行

(3)载人航天飞船的返回舱中有多种植物种子,为什么将这些植物种子携带上天再带回地面?

(4)飞船的轨道舱是宇航员在轨道上进行各种实验的场所,由于空间不大,所用仪器都要经过精选,下列哪些仪器一般不会被选中

[  ]

A.水银气压计
B.天平
C.摆钟
D.多用电表

(5)宇航员所在轨道舱和返回舱都是密封的,宇航员吸入氧气,呼出二氧化碳,如果二氧化碳浓度过高,会使宇航员困乏、呼吸频率加快,严重的会引起窒息,为使二氧化碳浓度降低而保持舱内氧气的适当比例,可以在舱内放入

[  ]

A.Na2O2
B.NaOC3
C.NaOH
D.氧气瓶

(6)载人航天飞船返回大气层时,由于速度很大,和空气摩擦会产生高热,为了保护载人航天飞船,采用下列哪些措施是可行的

[  ]

A.返回开始阶段利用反推力火箭使载人航天飞船调整到适当的返回角度并减速

B.使载人航天飞船钝圆部朝向前进方向

C.在朝向前进方向的部分安装一层易熔金属,高温时蒸发吸收热量

D.刚开始返回即张开降落伞

(7)吊在降落伞下的载人航天飞船返回舱下落速度仍达14m/s.为实现软着陆,在返回舱离地面约1.5m时启动5个反推力小火箭,若返回舱重8t,则每支火箭的平均推力约为多大?

违法和不良信息举报电话:027-86699610 举报邮箱:58377363@163.com

精英家教网