题目内容
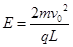
如图所示,在直角三角形区域ABC内存在着平行于AC方向的匀强电场,AC边长为L,一质量为m,电荷量+q的带电粒子以初速度v0从A点沿AB方向进入电场,垂直通过BC边的中点,则粒子从BC出来时的水平分速度vx=________,电场强度的大小E=_________。![]()
V0 ![]()
解析
练习册系列答案
相关题目
题目内容
如图所示,在直角三角形区域ABC内存在着平行于AC方向的匀强电场,AC边长为L,一质量为m,电荷量+q的带电粒子以初速度v0从A点沿AB方向进入电场,垂直通过BC边的中点,则粒子从BC出来时的水平分速度vx=________,电场强度的大小E=_________。![]()
V0 ![]()
解析