题目内容
如图(a)所示,“”型木块放在光滑水平地面上,木块水平表面AB粗糙,光滑表面BC且与水平面夹角为θ=37°.木块右侧与竖直墙壁之间连接着一个力传感器,当力传感器受压时,其示数为正值;当力传感器被拉时,其示数为负值.一个可视为质点的滑块从C点由静止开始下滑,运动过程中,传感器记录到的力和时间的关系如图(b)所示.已知sin37°=0.6,cos37°=0.8,g取10m/s2.求:(1)斜面BC的长度;
(2)滑块的质量.
【答案】分析:(1)当滑块沿斜面BC向下运动时,滑块对斜面有斜向右下方的压力,则力传感器受到压力.由图读出滑块运动的时间为t=1s,由牛顿第二定律求出滑块的加速度,即可由位移公式求解斜面BC的长度.
(2)滑块对斜面的压力为N1′=mgcosθ,木板对传感器的压力为:F1=N1′sinθ,由图读出F1,即可求得滑块的质量.
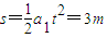
解答:解:(1)分析滑块受力,由牛顿第二定律得:
得:a1=gsinθ=6m/s2
通过图象可知,滑块在斜面上运动时间为:t1=1s
由运动学公式得:
(2)滑块对斜面的压力为:N1′=mgcosθ
木板对传感器的压力为:F1=N1′sinθ
由图象可知:F1=12N
解得:m=2.5Kg

答:
(1)斜面BC的长度是3m;
(2)滑块的质量是2.5kg.
点评:本题要读懂F-t图象,分析滑块的受力情况和运动情况,关键要抓住木板对传感器的压力与滑块对斜面BC压力的关系.
(2)滑块对斜面的压力为N1′=mgcosθ,木板对传感器的压力为:F1=N1′sinθ,由图读出F1,即可求得滑块的质量.
解答:解:(1)分析滑块受力,由牛顿第二定律得:
得:a1=gsinθ=6m/s2
通过图象可知,滑块在斜面上运动时间为:t1=1s
由运动学公式得:
(2)滑块对斜面的压力为:N1′=mgcosθ
木板对传感器的压力为:F1=N1′sinθ
由图象可知:F1=12N
解得:m=2.5Kg
答:
(1)斜面BC的长度是3m;
(2)滑块的质量是2.5kg.
点评:本题要读懂F-t图象,分析滑块的受力情况和运动情况,关键要抓住木板对传感器的压力与滑块对斜面BC压力的关系.
练习册系列答案
相关题目