题目内容

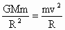
若取地球的第一宇宙速度为8km/s,某行星的质量是地球质量的6倍,半径是地球的1.5倍则这行星的第一宇宙速度为________.

答案:16km/s
解析:

对近地卫星:

所以


练习册系列答案
相关题目

选做题(请从A、B和C三小题中选定两小题作答,如都作答,则按A、B两小题评分.)

A.(选修模块3-3)

(1)下列说法正确的是                                            (       )

A.熵是物体内分子运动无序程度的量度

B.由氢气的摩尔体积和每个氢分子的体积可估算出阿伏加德罗常数

C.满足能量守恒定律的客观过程都不是可以自发进行的

D.液体表面层的分子比液体内部的分子有更大的分子势能

(2) 一定质量的理想气体由状态A经状态B变化到状态C的p-V图象如图所示.在由状态A变化到状态B的过程中,理想气体的温度          (填“升高”、“降低”或“不变”).在由状态A变化到状态C的过程中,理想气体吸收的热量       它对外界做的功(填“大于”、“小于”或“等于”).

(3)已知阿伏加德罗常数为6.0×1023mol-1,在标准状态(压强p0=1atm、温度t0=0℃)下任何气体的摩尔体积都为22.4l,设第(2)问中理想气体在状态A下的温度为0℃,求该气体的分子数.(计算结果取两位有效数字)

B.(选修模块3-4)

(1)以下说法中正确的是                                           (      )

A.拍摄玻璃橱窗内的物品时,往往在镜头前加一个偏振片以增加透射光的强度

B.全息照片往往用激光来拍摄,主要是利用了激光的相干性

C.根据宇宙大爆炸学说,遥远星球发出的红光被地球接收到时可能是红外线

D.超声波可以在真空中传播

(2)平行光a垂直射向一半径为R的玻璃半球的平面,其截面如图所示,发现只有P、Q之间所对圆心角为60°的球面上有光射出,则玻璃球对a光的折射率为         ,若仅将a平行光换成b平行光,测得有光射出的范围增大,设a、b两种色光在玻璃球中的速度分别为va和vb,则va        vb(选填“>”、“<”或“=”).

(3)在均匀介质中选取平衡位置在同一直线上的9个质点,相邻两质点间的距离均为0.1m,如图(a)所示.一列横波沿该直线向右传播,t=0时到达质点1,质点1开始向下运动,振幅为0.2m,经过时间0.3s第一次出现如图(b)所示的波形.试写出质点1的振动方程.

C.(选修模块3-5)

(1)下列说法正确的有                                               (    )

A.卢瑟福的α粒子散射实验可以估测原子核的大小

B.氢原子辐射出一个光子后,氢原子的电势能增大,核外电子的运动加速度增大

C.物质波是一种概率波,在微观物理学中不可以用“轨迹”来描述粒子的运动

D.若氢原子从 n = 6 能级向 n = 1 能级跃迁时辐射出的光不能使某金属发生光电效应,则氢原子从 n = 6 能级向 n = 2 能级跃迁时辐射出的光能使该金属发生光电效应

(2)正电子发射计算机断层显象(PET)的基本原理是:将放射性同位素注入人体,在人体内衰变放出的正电子与人体内的负电子相遇而湮灭,转化为一对γ光子,被探测器探测到,并经计算机处理后产生清晰的图象.根据PET的原理,在人体内衰变的方程式是                ;在PET中,的主要用途是作为              

(3)如图所示,质量分别为m1m2的两个小球在光滑水平面上分别以速度v1v2同向运动,并发生对心碰撞,碰后m2被右侧墙壁原速弹回,又与m1碰撞,再一次碰撞后两球都静止.求第一次碰后m1球速度的大小.

选做题(请从A、B和C三小题中选定两小题作答,如都作答,则按A、B两小题评分.)
A.(选修模块3-3)
(1)下列说法正确的是                                           (      )
A.熵是物体内分子运动无序程度的量度
B.由氢气的摩尔体积和每个氢分子的体积可估算出阿伏加德罗常数
C.满足能量守恒定律的客观过程都不是可以自发进行的
D.液体表面层的分子比液体内部的分子有更大的分子势能
(2)一定质量的理想气体由状态A经状态B变化到状态C的p-V图象如图所示.在由状态A变化到状态B的过程中,理想气体的温度         (填“升高”、“降低”或“不变”).在由状态A变化到状态C的过程中,理想气体吸收的热量      它对外界做的功(填“大于”、“小于”或“等于”).

(3)已知阿伏加德罗常数为6.0×1023mol-1,在标准状态(压强p0=1atm、温度t0=0℃)下任何气体的摩尔体积都为22.4l,设第(2)问中理想气体在状态A下的温度为0℃,求该气体的分子数.(计算结果取两位有效数字)
B.(选修模块3-4)
(1)以下说法中正确的是                                           (      )
A.拍摄玻璃橱窗内的物品时,往往在镜头前加一个偏振片以增加透射光的强度
B.全息照片往往用激光来拍摄,主要是利用了激光的相干性
C.根据宇宙大爆炸学说,遥远星球发出的红光被地球接收到时可能是红外线
D.超声波可以在真空中传播
(2)平行光a垂直射向一半径为R的玻璃半球的平面,其截面如图所示,发现只有P、Q之间所对圆心角为60°的球面上有光射出,则玻璃球对a光的折射率为        ,若仅将a平行光换成b平行光,测得有光射出的范围增大,设a、b两种色光在玻璃球中的速度分别为va和vb,则va       vb(选填“>”、“<”或“=”).

(3)在均匀介质中选取平衡位置在同一直线上的9个质点,相邻两质点间的距离均为0.1m,如图(a)所示.一列横波沿该直线向右传播,t=0时到达质点1,质点1开始向下运动,振幅为0.2m,经过时间0.3s第一次出现如图(b)所示的波形.试写出质点1的振动方程.

C.(选修模块3-5)
(1)下列说法正确的有                                              (   )
A.卢瑟福的α粒子散射实验可以估测原子核的大小
B.氢原子辐射出一个光子后,氢原子的电势能增大,核外电子的运动加速度增大
C.物质波是一种概率波,在微观物理学中不可以用“轨迹”来描述粒子的运动
D.若氢原子从 n =" 6" 能级向 n =" 1" 能级跃迁时辐射出的光不能使某金属发生光电效应,则氢原子从 n =" 6" 能级向 n =" 2" 能级跃迁时辐射出的光能使该金属发生光电效应
(2)正电子发射计算机断层显象(PET)的基本原理是:将放射性同位素注入人体,在人体内衰变放出的正电子与人体内的负电子相遇而湮灭,转化为一对γ光子,被探测器探测到,并经计算机处理后产生清晰的图象.根据PET的原理,在人体内衰变的方程式是               ;在PET中,的主要用途是作为              
(3)如图所示,质量分别为m1m2的两个小球在光滑水平面上分别以速度v1v2同向运动,并发生对心碰撞,碰后m2被右侧墙壁原速弹回,又与m1碰撞,再一次碰撞后两球都静止.求第一次碰后m1球速度的大小.

 选做题(请从A、B和C三小题中选定两小题作答,如都作答,则按A、B两小题评分.)

A.(选修模块3-3)(12分)

⑴下列说法正确的是                                           (       )

A.熵是物体内分子运动无序程度的量度

B.由氢气的摩尔体积和每个氢分子的体积可估算出阿伏加德罗常数

C.满足能量守恒定律的客观过程都不是可以自发进行的

D.液体表面层的分子比液体内部的分子有更大的分子势能

(2) 一定质量的理想气体由状态A经状态B变化到状态C的p-V图象如图所示.在由状态A变化到状态B的过程中,理想气体的温度         (填“升高”、“降低”或“不变”).在由状态A变化到状态C的过程中,理想气体吸收的热量      它对外界做的功(填“大于”、“小于”或“等于”).

 (3) 已知阿伏加德罗常数为6.0×1023mol-1,在标准状态(压强p0=1atm、温度t0=0℃)下任何气体的摩尔体积都为22.4l,设第(2)问中理想气体在状态A下的温度为0℃,求该气体的分子数.(计算结果取两位有效数字)

B.(选修模块3-4)(12分)

⑴以下说法中正确的是                                          (      )

A.拍摄玻璃橱窗内的物品时,往往在镜头前加一个偏振片以增加透射光的强度

B.全息照片往往用激光来拍摄,主要是利用了激光的相干性

C.根据宇宙大爆炸学说,遥远星球发出的红光被地球接收到时可能是红外线

D.超声波可以在真空中传播

⑵平行光a垂直射向一半径为R的玻璃半球的平面,其截面如图所示,发现只有P、Q之间所对圆心角为60°的球面上有光射出,则玻璃球对a光的折射率为        ,若仅将a平行光换成b平行光,测得有光射出的范围增大,设a、b两种色光在玻璃球中的速度分别为va和vb,则va        vb(选填“>”、“<”或“=”).

⑶在均匀介质中选取平衡位置在同一直线上的9个质点,相邻两质点间的距离均为0.1m,如图(a)所示.一列横波沿该直线向右传播,t=0时到达质点1,质点1开始向下运动,振幅为0.2m,经过时间0.3s第一次出现如图(b)所示的波形.试写出质点1的振动方程.

C.(选修模块3-5)(12分)

⑴下列说法正确的有                                              (    )

A.卢瑟福的α粒子散射实验可以估测原子核的大小

B.氢原子辐射出一个光子后,氢原子的电势能增大,核外电子的运动加速度增大

C.物质波是一种概率波,在微观物理学中不可以用“轨迹”来描述粒子的运动

D.若氢原子从 n = 6 能级向 n = 1 能级跃迁时辐射出的光不能使某金属发生光电效应,则氢原子从 n = 6 能级向 n = 2 能级跃迁时辐射出的光能使该金属发生光电效应

⑵正电子发射计算机断层显象(PET)的基本原理是:将放射性同位素注入人体,在人体内衰变放出的正电子与人体内的负电子相遇而湮灭,转化为一对γ光子,被探测器探测到,并经计算机处理后产生清晰的图象.根据PET的原理,在人体内衰变的方程式是               ;在PET中,的主要用途是作为              

⑶如图所示,质量分别为m1m2的两个小球在光滑水平面上分别以速度v1v2同向运动,并发生对心碰撞,碰后m2被右侧墙壁原速弹回,又与m1碰撞,再一次碰撞后两球都静止.求第一次碰后m1球速度的大小.

 

 选做题(请从A、B和C三小题中选定两小题作答,如都作答,则按A、B两小题评分.)

A.(选修模块3-3)(12分)

⑴下列说法正确的是                                            (       )

A.熵是物体内分子运动无序程度的量度

B.由氢气的摩尔体积和每个氢分子的体积可估算出阿伏加德罗常数

C.满足能量守恒定律的客观过程都不是可以自发进行的

D.液体表面层的分子比液体内部的分子有更大的分子势能

(2) 一定质量的理想气体由状态A经状态B变化到状态C的p-V图象如图所示.在由状态A变化到状态B的过程中,理想气体的温度          (填“升高”、“降低”或“不变”).在由状态A变化到状态C的过程中,理想气体吸收的热量       它对外界做的功(填“大于”、“小于”或“等于”).

 (3) 已知阿伏加德罗常数为6.0×1023mol-1,在标准状态(压强p0=1atm、温度t0=0℃)下任何气体的摩尔体积都为22.4l,设第(2)问中理想气体在状态A下的温度为0℃,求该气体的分子数.(计算结果取两位有效数字)

B.(选修模块3-4)(12分)

⑴以下说法中正确的是                                           (      )

A.拍摄玻璃橱窗内的物品时,往往在镜头前加一个偏振片以增加透射光的强度

B.全息照片往往用激光来拍摄,主要是利用了激光的相干性

C.根据宇宙大爆炸学说,遥远星球发出的红光被地球接收到时可能是红外线

D.超声波可以在真空中传播

⑵平行光a垂直射向一半径为R的玻璃半球的平面,其截面如图所示,发现只有P、Q之间所对圆心角为60°的球面上有光射出,则玻璃球对a光的折射率为         ,若仅将a平行光换成b平行光,测得有光射出的范围增大,设a、b两种色光在玻璃球中的速度分别为va和vb,则va        vb(选填“>”、“<”或“=”).

⑶在均匀介质中选取平衡位置在同一直线上的9个质点,相邻两质点间的距离均为0.1m,如图(a)所示.一列横波沿该直线向右传播,t=0时到达质点1,质点1开始向下运动,振幅为0.2m,经过时间0.3s第一次出现如图(b)所示的波形.试写出质点1的振动方程.

C.(选修模块3-5)(12分)

⑴下列说法正确的有                                               (    )

A.卢瑟福的α粒子散射实验可以估测原子核的大小

B.氢原子辐射出一个光子后,氢原子的电势能增大,核外电子的运动加速度增大

C.物质波是一种概率波,在微观物理学中不可以用“轨迹”来描述粒子的运动

D.若氢原子从 n = 6 能级向 n = 1 能级跃迁时辐射出的光不能使某金属发生光电效应,则氢原子从 n = 6 能级向 n = 2 能级跃迁时辐射出的光能使该金属发生光电效应

⑵正电子发射计算机断层显象(PET)的基本原理是:将放射性同位素注入人体,在人体内衰变放出的正电子与人体内的负电子相遇而湮灭,转化为一对γ光子,被探测器探测到,并经计算机处理后产生清晰的图象.根据PET的原理,在人体内衰变的方程式是                ;在PET中,的主要用途是作为              

⑶如图所示,质量分别为m1m2的两个小球在光滑水平面上分别以速度v1v2同向运动,并发生对心碰撞,碰后m2被右侧墙壁原速弹回,又与m1碰撞,再一次碰撞后两球都静止.求第一次碰后m1球速度的大小.

 

违法和不良信息举报电话:027-86699610 举报邮箱:58377363@163.com

精英家教网