题目内容
2008年9月25日21时10分,载着翟志刚、刘伯明、景海鹏三位宇航员的神舟七号飞船在中国酒泉卫星发射中心发射成功.9月27日翟志刚成功实施了太空行走.如果神舟七号飞船在离地球表面h高处的轨道上做周期为T的匀速圆周运动,已知地球的半径R,万有引力常量为G.在该轨道上,神舟七号航天飞船( )A.运行的线速度大小为
B.运行的线速度小于第一宇宙速度
C.运行时的向心加速度大小为
D.地球表面的重力加速度大小可表示为
【答案】分析:根据圆周运动的公式v=
和a=
求解.
第一宇宙速度是近地卫星的环绕速度,也是最大的圆周运动的环绕速度.
研究飞船绕地球做匀速圆周运动,根据万有引力提供向心力,列出等式求解.
忽略地球自转的影响,根据万有引力等于重力列出等式.
解答:解:A、根据圆周运动的公式v=
得:
运行的线速度大小为
.故A错误.
B、第一宇宙速度是近地卫星的环绕速度,也是最大的圆周运动的环绕速度.所以飞船运行的线速度小于第一宇宙速度,故B正确.
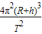
C、根据圆周运动的公式a=
得
运行时的向心加速度大小为
,故C正确.
D、研究飞船绕地球做匀速圆周运动,根据万有引力提供向心力,列出等式
=m
GM=
…①
忽略地球自转的影响,在地球表面根据万有引力等于重力列出等式
=mg… ②
由①②得:
g=
,故D正确.
故选BCD.
点评:运用黄金代换式GM=gR2求出问题是考试中常见的方法.向心力的公式选取要根据题目提供的已知物理量或所求解的物理量选取应用.
第一宇宙速度是近地卫星的环绕速度,也是最大的圆周运动的环绕速度.
研究飞船绕地球做匀速圆周运动,根据万有引力提供向心力,列出等式求解.
忽略地球自转的影响,根据万有引力等于重力列出等式.
解答:解:A、根据圆周运动的公式v=
运行的线速度大小为
B、第一宇宙速度是近地卫星的环绕速度,也是最大的圆周运动的环绕速度.所以飞船运行的线速度小于第一宇宙速度,故B正确.
C、根据圆周运动的公式a=
运行时的向心加速度大小为
D、研究飞船绕地球做匀速圆周运动,根据万有引力提供向心力,列出等式
GM=
忽略地球自转的影响,在地球表面根据万有引力等于重力列出等式
由①②得:
g=
故选BCD.
点评:运用黄金代换式GM=gR2求出问题是考试中常见的方法.向心力的公式选取要根据题目提供的已知物理量或所求解的物理量选取应用.
练习册系列答案
相关题目