题目内容

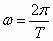
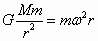
已知地球半径为R,地球表面的重力加速度为g.某卫星绕地球做匀速圆周运动,运行的周期为T,求卫星的运行速度和轨道半径.

答案:
解析:

  解: ①

   ②

   ③

  解得

  


练习册系列答案
相关题目

违法和不良信息举报电话:027-86699610 举报邮箱:58377363@163.com

精英家教网