ÌâÄ¿ÄÚÈÝ

£¨16·Ö£©Èçͼ£¨¼×£©Ëùʾ£¬Ò»¶ÔƽÐй⻬¹ìµÀ·ÅÖÃÔÚË®Æ½ÃæÉÏ£¬Á½¹ìµÀÏà¾àl=1m£¬Á½¹ìµÀÖ®¼äÓÃR=3¦¸µÄµç×èÁ¬½Ó£¬Ò»ÖÊÁ¿m=0.5kg¡¢µç×èr=1¦¸µÄµ¼Ìå¸ËÓëÁ½¹ìµÀ´¹Ö±£¬¾²Ö¹·ÅÔÚ¹ìµÀÉÏ£¬¹ìµÀµÄµç×è¿ÉºöÂÔ²»¼Æ¡£Õû¸ö×°Öô¦ÓڴŸÐӦǿ¶ÈB=2TµÄÔÈÇ¿´Å³¡ÖУ¬´Å³¡·½Ïò´¹Ö±¹ìµÀÆ½ÃæÏòÉÏ£¬ÏÖÓÃˮƽÀ­Á¦ÑعìµÀ·½ÏòÀ­µ¼Ìå¸Ë£¬À­Á¦FÓëµ¼Ìå¸ËÔ˶¯µÄÎ»ÒÆs¼äµÄ¹ØÏµÈçͼ£¨ÒÒ£©Ëùʾ£¬µ±À­Á¦´ïµ½×î´óʱ£¬µ¼Ìå¸Ë¿ªÊ¼×öÔÈËÙÔ˶¯£¬µ±Î»ÒÆs=2.5mʱ³·È¥À­Á¦£¬µ¼Ìå¸ËÓÖ»¬ÐÐÁËÒ»¶Î¾àÀës'ºóͣϣ¬ÔÚ»¬ÐÐs'µÄ¹ý³ÌÖеç×èRÉϲúÉúµÄ½¹¶úÈÈΪ12J¡£

Çó£º
£¨1£©À­Á¦F×÷Óùý³ÌÖУ¬Í¨¹ýµç×èRÉϵçÁ¿q£»
£¨2£©µ¼Ìå¸ËÔ˶¯¹ý³ÌÖеÄ×î´óËÙ¶Èvm£»
£¨3£©À­Á¦F×÷Óùý³ÌÖУ¬µç×èRÉϲúÉúµÄ½¹¶úÈÈ¡£

£¨1£©1.25C£¨2£©8m/s£¨3£©1.5J

½âÎöÊÔÌâ·ÖÎö£º£¨1£©À­Á¦F×÷Óùý³ÌÖУ¬ÔÚʱ¼ä¡÷tÄÚ£¬´ÅͨÁ¿Îª¡÷¦µ£¬Í¨¹ýµç×èRÉϵçÁ¿q
         £¨1·Ö£©
                                                       £¨1·Ö£©
                                                        £¨1·Ö£©
                               £¨1·Ö£©
£¨2£©³·È¥Fºó½ðÊô°ô»¬Ðйý³ÌÖж¯ÄÜת»¯ÎªµçÄÜ
¡ß                                                 £¨2·Ö£©
ÓÉÄÜÁ¿Êغ㶨ÂÉ£¬µÃ
                                            £¨2·Ö£©
¡à                                                £¨2·Ö£©
£¨3£©ÔÈËÙÔ˶¯Ê±×î´óÀ­Á¦Óë°²ÅàÁ¦Æ½ºâ
     £¨2·Ö£©
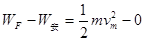
ÓÉͼÏñÃæ»ý£¬¿ÉµÃÀ­Á¦×ö¹¦Îª  
   £¨2·Ö£©
Óɶ¯Äܶ¨Àí£¬µÃ           
                 £¨2·Ö£©
µç×èRÉϲúÉúµÄÈÈÁ¿£¨£©
                          £¨2·Ö£©
¿¼µã£º¿¼²éÁ˵¼ÌåÇиî´Å¸ÐÏßÔ˶¯
µãÆÀ£º±¾ÌâµÄÄѵãÔÚÓÚµÚÒ»ÎÊ£¬ÕûÀíÀí½âͼÏóº¬Ò壬ȻºóÑ¡ÓÃÕýÈ·¹«Ê½Çó½âÊǹؼü£®

Á·Ï°²áϵÁдð°¸
Ïà¹ØÌâÄ¿

Î¥·¨ºÍ²»Á¼ÐÅÏ¢¾Ù±¨µç»°£º027-86699610 ¾Ù±¨ÓÊÏ䣺58377363@163.com

¾«Ó¢¼Ò½ÌÍø