题目内容

在研究宇宙发展演变的理论中,有一种学说叫“宇宙膨胀说”.这种学说认为万有引力常量G在缓慢地减小.根据这一理论,在很久很久以前,太阳系中地球的公转情况与现在相比

[  ]

A.公转半径R较大

B.公转周期T较大

C.公转速率υ较大

D.公转角速度ω较小

答案:BC
解析:

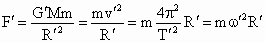
知,当G减小时,F减小,即有,地球将做离心运动,R增大.又由.故选BC


练习册系列答案
相关题目

违法和不良信息举报电话:027-86699610 举报邮箱:58377363@163.com

精英家教网