题目内容
在东北,冬天温度较低,大雪过后容易发生交通事故,究其原因,主要是大雪覆盖路面后被车轮挤压,部分融化为水,在严寒的天气下,又马上结成冰,汽车在冰面上行驶,刹车后难以停下,据测定,汽车橡胶轮胎与普通路面间的动摩擦因数是μ1=0.7,与冰面间的动摩擦因数为μ2=0.1,对于没有安装防抱死(ABS)系统的普通汽车,急刹车后,车轮立即停止运动,汽车在普通的水平路面上滑行S=7m,才能停下.若汽车以同样的速度在结了冰的水平路面上行驶,急刹车后滑行的距离增大了多少?(g=10m/s2)
【答案】分析:根据牛顿第二定律分别求出普通路面和冰雪路面的加速度,由速度位移关系公式分别列出两个路面上初速度和位移的关系,联立求出冰雪路面上汽车滑行的距离,再研究滑行的距离增大了多少.
解答:解:设汽车在普通路面和冰雪路面的加速度大小分别为a1、a2.
在普通路面时:υ2=2a1s
μ1mg=ma1
在冰雪路面时:υ2=2a2s'
μ2mg=ma2
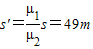
由以上各式可得:
ˊ
故△s=s'-s=42m
答:急刹车后滑行的距离增大了42m.
点评:本题根据牛顿第二定律和运动学公式结合处理动力学问题,是基本的方法,也可以运用动能定理研究.
解答:解:设汽车在普通路面和冰雪路面的加速度大小分别为a1、a2.
在普通路面时:υ2=2a1s
μ1mg=ma1
在冰雪路面时:υ2=2a2s'
μ2mg=ma2
由以上各式可得:
故△s=s'-s=42m
答:急刹车后滑行的距离增大了42m.
点评:本题根据牛顿第二定律和运动学公式结合处理动力学问题,是基本的方法,也可以运用动能定理研究.
练习册系列答案
相关题目