题目内容
2011年4月10日,我国成功发射第8颗北斗导航卫星,建成以后北斗导航卫星系统将包含多颗地球同步卫星,这有助于减少我国对GPS导航系统的依赖,GPS由运行周期为12小时的卫星群组成,设北斗星的同步卫星和GPS导航的轨道半径分别为R1和R2,向心加速度分别为a1和a2,则R1:R2= a1:a2= .(可用根式表示)
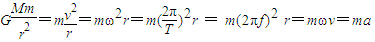
【答案】分析:该题从这两种卫星的周期和向心力公式的两种表达式(
)上入手.找出半径与周期关系表达式和加速度与半径关系表达式,从而求出R1:R2和a1:a2的值.
解答:解:
设地球同步卫星的周期为T1,GPS卫星的周期为T2,由题意有:

由万有引力定律的公式和向心的公式有:

由以上两式可得:

因而:

故答案为:
,
点评:此题要了解地球同步卫星是相对地球静止的卫星,同步卫星只能是发射到赤道上空特定的高度,以特定的速度沿地球自转的方向绕地球转动.转动的周期和角速度与地球自转的周期和角速度一致,转动周期为24h.
该题还考察到了万有引力定律及其应用,对于万有引力定律及其应用,关键是熟练的掌握公式
的应用.
解答:解:
设地球同步卫星的周期为T1,GPS卫星的周期为T2,由题意有:
由万有引力定律的公式和向心的公式有:
由以上两式可得:
因而:
故答案为:
点评:此题要了解地球同步卫星是相对地球静止的卫星,同步卫星只能是发射到赤道上空特定的高度,以特定的速度沿地球自转的方向绕地球转动.转动的周期和角速度与地球自转的周期和角速度一致,转动周期为24h.
该题还考察到了万有引力定律及其应用,对于万有引力定律及其应用,关键是熟练的掌握公式
练习册系列答案
相关题目