ÌâÄ¿ÄÚÈÝ

ÈçͼaËùʾ£¬Ë®Æ½Ö±ÏßMNÏ·½ÓÐÊúÖ±ÏòÉϵÄÔÈÇ¿µç³¡£¬ÏÖ½«Ò»ÖØÁ¦²»¼Æ¡¢±ÈºÉµÄÕýµçºÉÖÃÓڵ糡ÖеÄOµãÓɾ²Ö¹ÊÍ·Å£¬¾­¹ý¡Á10—5sºó£¬µçºÉÒÔv0=1£®5¡Ál04m£¯sµÄËÙ¶Èͨ¹ýMN½øÈëÆäÉÏ·½µÄÔÈÇ¿´Å³¡£¬´Å³¡ÓëÖ½Ãæ´¹Ö±£¬´Å¸ÐӦǿ¶ÈB°´Í¼bËùʾ¹æÂÉÖÜÆÚÐԱ仯£¨Í¼bÖдų¡ÒÔ´¹Ö±Ö½ÃæÏòÍâΪÕý£¬ÒÔµçºÉµÚÒ»´Îͨ¹ýMNʱΪt=0ʱ¿Ì£©¡£Çó£º

£¨1£©ÔÈÇ¿µç³¡µÄµç³¡Ç¿¶ÈE

£¨2£©Í¼bÖСÁ10-5sʱ¿ÌµçºÉÓëOµãµÄˮƽ¾àÀë

£¨3£©Èç¹ûÔÚOµãÓÒ·½d= 68cm´¦ÓÐÒ»´¹Ö±ÓÚMNµÄ×ã¹»´óµÄµ²°å£¬ÇóµçºÉ´ÓOµã³ö·¢Ô˶¯µ½µ²°åËùÐèµÄʱ¼ä¡££¨£¬£©

½â£º¢ÅµçºÉÔڵ糡ÖÐ×öÔȼÓËÙÖ±ÏßÔ˶¯£¬ÉèÆäÔڵ糡ÖÐÔ˶¯µÄʱ¼äΪ£¬ÓУº

                                  

                                 

½âµÃ£º            £¨3·Ö£©

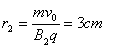
¢Æµ±´Å³¡´¹Ö±Ö½ÃæÏòÍâʱ£¬µçºÉÔ˶¯µÄ°ë¾¶£º

             

ÖÜÆÚ    £¨2·Ö£©

µ±´Å³¡´¹Ö±Ö½ÃæÏòÀïʱ£¬µçºÉÔ˶¯µÄ°ë¾¶£º

             

ÖÜÆÚ     £¨2·Ö£©

¹ÊµçºÉ´Ót=0ʱ¿Ì¿ªÊ¼×öÖÜÆÚÐÔÔ˶¯£¬ÆäÔ˶¯¹ì¼£ÈçͼËùʾ¡£

¡Á10-5sʱ¿ÌµçºÉÓëOµãµÄˮƽ¾àÀ룺¦¤d==4cm  £¨2·Ö£©

¢ÇµçºÉ´ÓµÚÒ»´Îͨ¹ýMN¿ªÊ¼£¬ÆäÔ˶¯µÄÖÜÆÚΪ£º  

¸ù¾ÝµçºÉµÄÔ˶¯Çé¿ö¿ÉÖª£¬µçºÉµ½´ïµµ°åǰÔ˶¯µÄÍêÕûÖÜÆÚÊýΪ15¸ö£¬ÓУº

µçºÉÑØONÔ˶¯µÄ¾àÀ룺s=15¦¤d=60cm  £¨1·Ö£©

¹Ê×îºó8cmµÄ¾àÀëÈçͼËùʾ£¬ÓУº

                   

½âµÃ£º   Ôò         £¨3·Ö£©

¹ÊµçºÉÔ˶¯µÄ×Üʱ¼ä£º

£¨3·Ö£©

Á·Ï°²áϵÁдð°¸
Ïà¹ØÌâÄ¿

Î¥·¨ºÍ²»Á¼ÐÅÏ¢¾Ù±¨µç»°£º027-86699610 ¾Ù±¨ÓÊÏ䣺58377363@163.com

¾«Ó¢¼Ò½ÌÍø