已知函数f(x)=x2+2alnx.
(Ⅰ)若函数f(x)的图象在(2,f(2))处的切线斜率为1,求实数a的值;
(Ⅱ)求函数f(x)的单调区间;
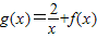
(Ⅲ)若函数
在[1,2]上是减函数,求实数a的取值范围.
0 78280 78288 78294 78298 78304 78306 78310 78316 78318 78324 78330 78334 78336 78340 78346 78348 78354 78358 78360 78364 78366 78370 78372 78374 78375 78376 78378 78379 78380 78382 78384 78388 78390 78394 78396 78400 78406 78408 78414 78418 78420 78424 78430 78436 78438 78444 78448 78450 78456 78460 78466 78474 266669
(Ⅰ)若函数f(x)的图象在(2,f(2))处的切线斜率为1,求实数a的值;
(Ⅱ)求函数f(x)的单调区间;
(Ⅲ)若函数