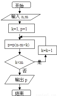
0  78240  78248  78254  78258  78264  78266  78270  78276  78278  78284  78290  78294  78296  78300  78306  78308  78314  78318  78320  78324  78326  78330  78332  78334  78335  78336  78338  78339  78340  78342  78344  78348  78350  78354  78356  78360  78366  78368  78374  78378  78380  78384  78390  78396  78398  78404  78408  78410  78416  78420  78426  78434  266669 

违法和不良信息举报电话:027-86699610 举报邮箱:58377363@163.com

精英家教网