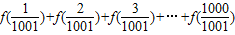
某校100名学生期中考试语文成绩的频率分布直方图如图所示,其中成绩分组区间是:[50,60),[60,70),[70,80),[80,90),[90,100].
(1)求图中a的值;
(2)根据频率分布直方图,估计这100名学生语文成绩的平均分;
(3)若这100名学生语文成绩某些分数段的人数(x)与数学成绩相应分数段的人数(y)之比如下表所示,求数学成绩在[50,90)之外的人数.
0 78145 78153 78159 78163 78169 78171 78175 78181 78183 78189 78195 78199 78201 78205 78211 78213 78219 78223 78225 78229 78231 78235 78237 78239 78240 78241 78243 78244 78245 78247 78249 78253 78255 78259 78261 78265 78271 78273 78279 78283 78285 78289 78295 78301 78303 78309 78313 78315 78321 78325 78331 78339 266669
(1)求图中a的值;
(2)根据频率分布直方图,估计这100名学生语文成绩的平均分;
(3)若这100名学生语文成绩某些分数段的人数(x)与数学成绩相应分数段的人数(y)之比如下表所示,求数学成绩在[50,90)之外的人数.
| 分数段 | [50,60) | [60,70) | [70,80) | [80,90) |
| x:y | 1:1 | 2:1 | 3:4 | 4:5 |