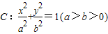
动圆C与定圆C1:(x+3)2+y2=32内切,与定圆C2:(x-3)2+y2=8外切,A点坐标为(0,
).
(1)求动圆C的圆心C的轨迹方程和离心率;
(2)若轨迹C上的两点P,Q满足
,求|PQ|的值.
0 77885 77893 77899 77903 77909 77911 77915 77921 77923 77929 77935 77939 77941 77945 77951 77953 77959 77963 77965 77969 77971 77975 77977 77979 77980 77981 77983 77984 77985 77987 77989 77993 77995 77999 78001 78005 78011 78013 78019 78023 78025 78029 78035 78041 78043 78049 78053 78055 78061 78065 78071 78079 266669
(1)求动圆C的圆心C的轨迹方程和离心率;
(2)若轨迹C上的两点P,Q满足