下表提供了某厂节能降耗技术改造后生产甲产品过程中记录的产量X(吨),与相应的生产能耗Y(吨标准煤)的几组对照数据.
(1)请画出上表数据的数点图
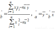
(2)请根据上表提供的数据,求线性回归的方程Y=
x+
(3)已知该厂技改前100吨甲产品的生产能耗为90吨标准煤,试根据(2)求出的线性回归方程,预测生产100吨甲产品的生产能耗比技改前降低多少吨标准煤?
(
)
0 77033 77041 77047 77051 77057 77059 77063 77069 77071 77077 77083 77087 77089 77093 77099 77101 77107 77111 77113 77117 77119 77123 77125 77127 77128 77129 77131 77132 77133 77135 77137 77141 77143 77147 77149 77153 77159 77161 77167 77171 77173 77177 77183 77189 77191 77197 77201 77203 77209 77213 77219 77227 266669
| X | 3 | 4 | 5 | 6 |
| Y | 2.5 | 3 | 4 | 4.5 |
(2)请根据上表提供的数据,求线性回归的方程Y=
(3)已知该厂技改前100吨甲产品的生产能耗为90吨标准煤,试根据(2)求出的线性回归方程,预测生产100吨甲产品的生产能耗比技改前降低多少吨标准煤?
(