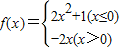
已知
,其中a,b,x∈R.若f(x)=
满足f(
)=2,且f(x)的图象关于直线x=
对称.
(Ⅰ)求a,b的值;
(Ⅱ)若关于x的方程f(x)+log2k=0在区间[0,
]上总有实数解,求实数k的取值范围.
(Ⅰ)求a,b的值;
(Ⅱ)若关于x的方程f(x)+log2k=0在区间[0,
右表提供了某厂节能降耗技术改造后生产A产品过程中记录的产量x(吨)与相应的生产能耗y(吨标准煤)的几组对应数据.根据下表提供的数据,求出y关于x的线性回归方程为
=0.7x+0.35,那么表中t的值为( )
A.3
B.3.15
C.3.5
D.4.5
0 75570 75578 75584 75588 75594 75596 75600 75606 75608 75614 75620 75624 75626 75630 75636 75638 75644 75648 75650 75654 75656 75660 75662 75664 75665 75666 75668 75669 75670 75672 75674 75678 75680 75684 75686 75690 75696 75698 75704 75708 75710 75714 75720 75726 75728 75734 75738 75740 75746 75750 75756 75764 266669
| x | 3 | 4 | 5 | 6 |
| y | 2.5 | t | 4 | 4.5 |
A.3
B.3.15
C.3.5
D.4.5