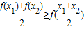
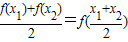
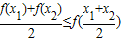
0 74856 74864 74870 74874 74880 74882 74886 74892 74894 74900 74906 74910 74912 74916 74922 74924 74930 74934 74936 74940 74942 74946 74948 74950 74951 74952 74954 74955 74956 74958 74960 74964 74966 74970 74972 74976 74982 74984 74990 74994 74996 75000 75006 75012 75014 75020 75024 75026 75032 75036 75042 75050 266669