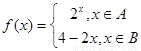
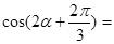
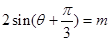
0  74478  74486  74492  74496  74502  74504  74508  74514  74516  74522  74528  74532  74534  74538  74544  74546  74552  74556  74558  74562  74564  74568  74570  74572  74573  74574  74576  74577  74578  74580  74582  74586  74588  74592  74594  74598  74604  74606  74612  74616  74618  74622  74628  74634  74636  74642  74646  74648  74654  74658  74664  74672  266669 

违法和不良信息举报电话:027-86699610 举报邮箱:58377363@163.com

精英家教网