定义运算
,则符合条件
的复数
对应的点在( )
| A.第四象限 | B.第三象限 | C.第二象限 | D.第一象限 |
定义:
.若复数
满足
,则
等于
| A. | B. | C. | D. |
行列式
中,第3行第2列的元素的代数余子式记作
,
的零点属于区间 ( )
| A.( | B.( | C.( | D.( |
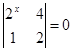
已知
,则
( )
| A.-2008 | B.2008 | C.2010 | D.-2010 |
定义运算
,则符合条件
的复数
对应的点在( )
| A.第四象限 | B.第三象限 | C.第二象限 | D.第一象限 |
定义:
.若复数
满足
,则
等于
| A. | B. | C. | D. |
行列式
中,第3行第2列的元素的代数余子式记作
,
的零点属于区间 ( )
| A.( | B.( | C.( | D.( |
已知
,则
( )
| A.-2008 | B.2008 | C.2010 | D.-2010 |