的共轭复数是 ( )
| A. | B. | C. | D. |
设复数Z满足Z(2-3i) =" 6+4i" (i为虚数单位),则Z的模为( )
| A.4 | B.6 | C.2 | D.8 |
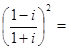
已知复数
,则
的共轭复数![]()
| A. | B. | C. | D. |
复数
=( )
| A.-3+4i | B.-3-4i | C.3-4i | D.3+4i |
的共轭复数是 ( )
| A. | B. | C. | D. |
设复数Z满足Z(2-3i) =" 6+4i" (i为虚数单位),则Z的模为( )
| A.4 | B.6 | C.2 | D.8 |
已知复数
,则
的共轭复数![]()
| A. | B. | C. | D. |
复数
=( )
| A.-3+4i | B.-3-4i | C.3-4i | D.3+4i |