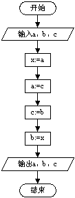
阅读下面的流程图,若输入的a、b、c分别是21、32、75,则输出的a、b、c分别是
| A.75、21、32 | B.21、32、75 | C.32、21、75 | D.75、32、21 |
下列给出的赋值语句中正确的是( )
| A. | B. | C. | D. |
下列给出的赋值语句中正确的是 ( )
| A. | B. | C. | D. |
把89化成五进制数的末位数字为: ( )
| A.1 | B.2 | C.3 | D.4 |
.下面程序运行的结果为 (
)![]()
| A.4 | B.5 | C.6 | D.7 |
.如图,程序框图所进行的求和运算是:
| A. | B. |
| C. | D. |
下列给出的赋值语句中正确的是( )
| A. | B. | C. | D. |
四位二进制数能表示的最大十进制数是( )
| A.4 | B.15 | C.64 | D.127 |
A=15,A=-A+5,最后A的值为 ( )
| A.-10 | B.25 | C.15 | D.无意义 |