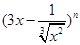
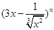
展开式中含
项的系数为( )
| A.240 | B.120 | C.60 | D.15 |
若
,则
的值为 ( )
| A.6 | B.7 | C.35 | D.20 |
有5名同学被安排在周一至周五值日,已知同学甲只能在周一值日,那么5名同学值日顺序的编排方案共有
| A.12种 | B.24种 | C.48种 | D.120种 |
A,B,C,D,E五人站成一排,如果A,B必须相邻且B在A的右边,那么不同排法种数有( )
| A.60种 | B.48种 | C.36种 | D.24种 |
一个停车场有5个排成一排的空车位,现有2辆不同的车停进这个停车场,若停好后恰有2个相邻的停车位空着,则不同的停车方法共有
| A.6种 | B.12种 | C.36种 | D.72种 |
的值为
| A.32 | B.31 | C.30 | D.29 |
将一个四棱锥的每个顶点染上种颜色,并使每一条棱的两端点异色,若只有五种颜色可供使用,则不同的染色方法总数为( )
| A.420 | B.340 | C.260 | D.120 |
如果
的展开式中各项系数之和为128,则展开式中
的系数是( )
| A. | B. | C. | D. |
如果
的展开式中各项系数之和为128,则开式中
的系数是( )
| A. | B. | C. | D. |
某公共汽车上有10名乘客,沿途有5个车站,乘客下车的可能方式 ( )
| A. | B. | C.50种 | D.10种 |