参数方程
为参数
和极坐标方程
所表示的图形分别是
| A.圆和直线 | B.直线和直线 | C.椭圆和直线 | D.椭圆和圆 |
直线l:y=3x+2与圆:
(
为参数)的位置关系是( )
| A.相交且过圆心 | B.相交而不过圆心 | C.相切 | D.相离 |
点
到曲线
(其中参数
)上的点的最短距离为 ( )
| A.0 | B.1 | C. | D.2 |
在直角坐标系中,以坐标原点为极点x轴的正半轴为极轴建立极坐标系.直线I的参数方程是.
(r为参数),曲线C的极坐标方程是
=2,直线l与曲线C交于A、B,则|AB| ="(" )
A.
B.
C. 4 D.![]()
极坐标
和参数方程
所表示的图形分别是 ( )
| A.直线、直线 | B.直线、圆 | C.圆、圆 | D.圆、直线 |
与方程
表示同一条曲线的参数方程(t为参数)是 ( )![]()
![]()
| A. | B. | C. | D. |
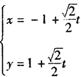
参数方程为,
则普通方程为( )
| A.3x+2y-7="0" | B.3x-2y-7="0" | C.3x+2y+7="0" | D.-3x+2y-7="0" |
参数方程为,
则普通方程为 ( )
| A.3x+2y-7="0" | B.3x-2y-7="0" | C.3x+2y+7="0" | D.-3x+2y-7="0" |