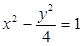
已知双曲线方程为
,过
的直线L与双曲线只有一个公共点,则直线L的条数共有( )
| A.4条 | B.3条 | C.2条 | D.1条 |
已知M(-2,0),N(2,0),|PM|-|PN|=4,则动点P的轨迹是( )
| A.双曲线 | B.双曲线左支 | C.一条射线 | D.双曲线右支 |
在
上有一点
,它到
的距离与它到焦点的距离之和最小,则点
的坐标是( )
| A.(-2,1) | B.(1,2) | C.(2,1) | D.(-1,2) |
已知焦点在
轴上的双曲线的渐近线方程是
,则该双曲线的离心率是( )
| A. | B. |
| C. | D. |
已知抛物线
的焦点为
,准线与
轴的交点为
,点
在
上且
,则
的面积为( )
| A. | B. | C. | D. |
双曲线
-
=1的焦点到渐近线的距离为( )
| A. | B.2 | C. | D.1 |
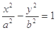
双曲线
的离心率为
,则它的渐近线方程是( )
| A. | B. | C. | D. |
双曲线
与椭圆
(a>0,m>b>0)的离心率互为倒数,那
么以a、b、m为边长的三角形是
| A.锐角三角形 | B.直角三角形 | C.钝角三角形 | D.等边三角形 |